首页
财务会计
医药卫生
金融经济
考公考编
外语考试
学历提升
职称考试
建筑工程
IT考试
其他
登录
医药卫生
B
B
shuhaiku
2019-12-17
3
问题
选项
答案
B
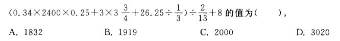
解析
[img]/upload/tiku/283/4331079_1.jpg[/img]
转载请注明原文地址:https://ti.zuoweng.com/ti/oiufKKKQ
相关试题推荐
过去,我国证券交易所债券交易采用全价交易。从()开始,国债交易率先采用净价交易。
在委托指令中,不管是采用填写委托单还是自助委托方式,都需要反映客户买卖证券的基本
开盘集合竞价期间没有产生成交的,连续竞价开始时有效竞价范围调整为前收盘价的上下(
甲、乙、丙、丁投资者四人,均申报卖出A股票,申报价格和申报时间分别为:甲的卖出价
证券经纪商接受客户委托后应按()的原则进行申报竞价。
在申报价格最小变动单位方面,不符合《上海证券交易所交易规则》规定的为()。
在深圳证券交易所买卖有价格涨跌幅限制的中小企业板股票,连续竞价期间超过有效竞价范
设立证券登记结算机构必须经()批准。
证券交易所会员()共有席位,席位()退回证券交易所。
证券公司申请成为证券交易所的会员,首先要将一系列相关材料报送证券交易所,证券公司
随机试题
下列关于PowerPoint的表述正确的是( )
下列选项中,属于建设工程监理与项目管理服务的区别的有()。
液压泵铭牌或产品样本标出的压力是()。
发审委委员有下列()情形的,中国证监会应当予以解聘。 Ⅰ.违反法律、行政法规、规章和发行审核工作纪律的 Ⅱ.未按照中国证监会的有关规定...
教育要适应人的发展有哪些基本特征?
根据我国的法律法规,基金管理公司的主要股东指()。A、出资额占基金管理公司注册比例最高的股东B、出资额不低于基金管理公司注册资本25%的股东C、出资额不低
安全承诺是企业安全文化建设的基本要素之一,李某是某企业的一名基层职工,依据《企业安全文化建设评价准则》(AQ/T9005),下列表述的内容中,适合李某的...
生产经营单位在建设项目初步设计时,应当委托具有相应资质的设计单位对建设项目安全设施同时进行设计。依据《建设项目安全设施“三同时”监督管理办法》(国家安全监...
兴趣的品质包括兴趣的()。 (A)倾向性(B)广阔性 (C)效能(D)持久性
通货膨胀对社会经济的影响包括以下哪些方面()。A.对生产和流通的影响B.对分配和消费的影响C.对金融秩序的影响D.对社会稳定的影响E.导致社会总投资减