首页
财务会计
医药卫生
金融经济
考公考编
外语考试
学历提升
职称考试
建筑工程
IT考试
其他
登录
建筑工程
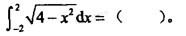
A. π B. 2π C. 3π D. π/2A. π B. 2π C. 3π D. π/2
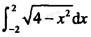
A. π B. 2π C. 3π D. π/2A. π B. 2π C. 3π D. π/2
admin
2020-12-24
6
问题
选项
A. π
B. 2π
C. 3π
D. π/2
答案
B
解析
提示:由定积分的几何意义,知
等于半径为2的圆的面积的一半。
转载请注明原文地址:https://ti.zuoweng.com/ti/pQK8KKKQ
相关试题推荐
男,35岁,车祸致骨盆骨折行牵引术后8周,对该患者健康教育正确的是A.禁止半卧位B.限制抬臀运动C.行双下肢的负重锻炼D.行下肢肌肉的舒缩锻炼E
护士小王准备为患者输液,发现液体有混浊现象,她立即与药房联系退换事宜。这种控制手段属于A.前馈控制B.同期控制C.反馈控制D.直接控制E.成本控制
患者70岁,晨起时出现说话不流利,仅发“咿、呀、哦”等声音,指手画脚,但能听懂他人的讲话内容,能随命令做相应的动作。该患者的语言障碍可能为A.运动性失语B
患者,男,55岁,确诊为阿尔茨海默病2年,近期家属发现患者出现新的症状,经常叫不上物品的名字,如要笔,就说那个拿在手里写字的。此症状属于A.失用症B.失
男,65岁,吸烟40余年,逐渐发生咳嗽,目前呼吸困难严重。查体发规患者呈桶状胸,其原因是A.慢性支气管炎B.老年缺钙胸廓变形C.常年咳嗽用力所致D.
男,53岁,慢性肝炎10余年,近日来腹部逐渐膨大,检査其有无腹水最简单的方法是A.听腹部有气过水音B.叩腹部有移动性浊音C.触腹部有实物感D.视腹
男,30岁,呼吸困难、咳嗽、咳痰,诊断为肺炎,体检可在左侧听到胸膜摩擦音,其原因是A.肺泡炎症B.呼吸动作太大C.胸膜受累发炎D.支气管炎症E.
男,15岁,破伤风患者,抽搐时引起窒息。急救处理首先应是A.口服水合氯醛B.肌注鲁米那C.立即气管切开D.静脉滴注TATE.气管插管
人的个性特征的核心成分是A.能力B.性格C.智力D.气质E.理想
全程血尿提示出血部位在A.前尿道B后尿道C.肾脏D.膀胱三角区E.膀胱颈部
随机试题
在整个利率体系中起主导作用的利率是( )。 A.存款准备金 B.同
股骨头缺血性坏死患者出现髋部酸胀不适,疼痛不甚,游走于髋膝关节间,轻度跛行,活动
有关中和剂鉴定试验的设计原则,下列叙述中错误的是 A.中和剂应对测试消毒剂有良
井田开拓方式种类很多,按井筒(硐)形式分为平硐开拓、立井开拓、斜井开拓和综合开拓
下列关于上市公司股权激励的表述,正确的有()。 Ⅰ.上市公司独立董事和监事均不
下列关于成本(P)之差,说法完全正确的是()。 Ⅰ.式中:P是在t=1时购买
在贷款发放中,对借款合同审查应着重于( )的审查。
世界上最早的专门论述教育问题的论著是中国古代的()。 A.《孟子》 B.《论
人的实践活动与动物本能活动的根本区别是()。A.活动性B.目的性C.实践性D.预期性
某企业大批量生产某种单一产品,该企业为了编制下年度的年度、季度计划,正进行生产能力核算工作。该企业全年制度工作日为250天,两班制,每班有效工作时间7.5...