首页
财务会计
医药卫生
金融经济
考公考编
外语考试
学历提升
职称考试
建筑工程
IT考试
其他
登录
建筑工程
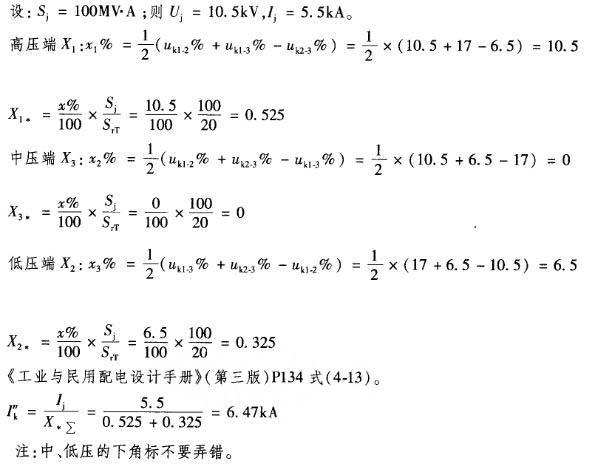
某变电所用于计算短路电流的接线示意图见下图,已知电源S为无穷大系统;变压器B的参数为Se=20000kV?A,110/38.5/10.5kV,uk1-2%...
某变电所用于计算短路电流的接线示意图见下图,已知电源S为无穷大系统;变压器B的参数为Se=20000kV?A,110/38.5/10.5kV,uk1-2%...
admin
2020-12-24
20
问题
某变电所用于计算短路电流的接线示意图见下图,已知电源S为无穷大系统;变压器B的参数为Se=20000kV?A,110/38.5/10.5kV,uk1-2%=10.5,uk1-3%=17,uk2-3%=6.5;K1点短路时35kV母线不提供反馈电流,试求10kV母线的短路电流与下列哪个值最接近?()
(A)16.92kA
(B)6.47kV
(C)4.68kV
(D)1.18kA
选项
答案
B
解析
依据:《工业与民用配电设计手册》(第三版)P131式(4-11),P127~128表(4-1)和式(4-2)。
转载请注明原文地址:https://ti.zuoweng.com/ti/rm60KKKQ
相关试题推荐
中性点接地的三相五线制电路中,所有单相电气设备电源插座的正确接线是图7-42中的()。
下面不属于操作系统管理功能的是()。A.存储管理B.文件管理C.设备管理D.电源管理
参数方程确定了y是x的函数,且f,(t)存在,f(0)=2,f,(0)=2,则当t=0时,dy/dx的值等于()。A.4/3B.-4/3C.
电路如图7-3所示,两电源共同作用时,U2=5V,当Is单独作用时,U2将()。 A.变大B.变小C.不变D.无法判定
如图7-14所示电路的戴维南等效电路参数US和RS各为下列何值?() A.9V,2ΩB.3V,4ΩC.3V,6ΩD.9V,6Ω
设X服从参数为1的指数分布,则E(X+e-X)()。A.3/2B.1C.5/3D.3/4
在信号源(us,RS)和电阻RL之间接入一个理想变压器,如图7-44所示,若uS=80sinωtV,RL=10Ω,且此时信号源输出功率最大,那么,变压器的...
在继电一接触器控制电路中,自锁触头起着失电压保护作用,保护的功能是()。A.防止电源电压降低时,电动机突然停机B.防止电源电压降低时,电动机带不动负载而烧毁
如图7-14所示电路的戴维南等效电路参数US和RS各为下列何值?() A.9V,2ΩB.3V,4ΩC.3V,6ΩD.9V,6Ω
在RLC串联电路中,电容C可调,已知电源频率为1000Hz,电路电感为5.07mH,电阻为50Ω,当电容调到()时,电路电流为最大。A.6.4μFB.8μF
随机试题
依据《特种作业人员安全技术培训考核管理规定》,应当直接注销特种作业操作证的是(
国际收支逆差与国际储备之比反映以一国国际储备弥补其国际收支逆差的能力,一般限度是
证券登记结算机构是为证券交易提供集中登记、托管与结算服务,以营利为目的的法人。
学习贯彻“三个代表”重要思想,必须牢牢把握立党为公、执政为民,这是衡量有没有真正
在心动周期中,心室内压力上升最快的是在A.快速射血期 B.快速充盈期 C.减
皮肤感觉包括()。 (A)触觉和压觉(B)温觉和冷觉 (C)振动觉和痛觉(D)平衡觉
歼20:飞机:航空器A.班长:连长:团长B.法庭:法院:司法机关C.马刀:刀具:冷兵器D.溪流:江河:海洋
试述民事行为无效的情形。
下列关于有限责任公司监督机构的表述,正确的有()。A.股东人数较少或者规模较小的有限责任公司,可以设1至2名监事,不设监事会B.监事会应当包括股东代表和适当
下列不属于客户主营业务的演变的是( )。A.股权变更型B.产品转换型C.市场转换型D.业务停顿型