首页
财务会计
医药卫生
金融经济
考公考编
外语考试
学历提升
职称考试
建筑工程
IT考试
其他
登录
金融经济
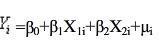
对模型 的最小二乘回归结果显示,R^2为0.92,总离差平方和为500,则残差平方和RSS为( )。A、10 B、40 C、80 D、20
对模型 的最小二乘回归结果显示,R^2为0.92,总离差平方和为500,则残差平方和RSS为( )。A、10 B、40 C、80 D、20
admin
2020-12-24
18
问题
对模型
的最小二乘回归结果显示,R^2为0.92,总离差平方和为500,则残差平方和RSS为( )。
选项
A、10
B、40
C、80
D、20
答案
B
解析
转载请注明原文地址:https://ti.zuoweng.com/ti/s0p8KKKQ
相关试题推荐
安规规定:指导司机按()进行考核,按()进行排序,机务段()组织一次指导司机技术业务鉴定,结果与指导司机的聘任挂钩。A.月、季、每年B
轮胎气压过低时,高速行驶可能导致什么结果?A、气压不稳B、气压增高C、行驶阻力减小D、爆胎
关于上市公司实施重大资产重组,以下说法正确的有( )。[2015年11月真题] Ⅰ.资产交易定价以资产评估结果为依据的,上市公司应当聘请具有相关证券业...
在估计资产可收回金额时,下列说法正确的是()。[2015年9月真题] Ⅰ.以前报告期间的计算结果表明,资产可收回金额显著高于其账面价值、之后又没有发生...
如果建造合同的结果能够可靠估计,企业应根据完工百分比法在资产负债表曰确认合同收入和合同费用,对于成本加成合同的结果能够可靠估计的认定标准为同时具备以下条件...
下列网络投票说法正确的有( )A.同一表决权出现重复表决的以最后一次投票结果为准B.创业板股权激励需提供网络投票C.上市公司股东大会应当在交易日内召开,网
甲公司于2014年11月接受一项产品安装任务,提供劳务的交易结果能够可靠计量,预计安装期14个月,合同总收入200万元,合同预计总成本为158万元。至20...
以下关于持续督导的说法正确的是( )A.甲公司为在创业板上市公司,在持续督导期间,甲公司连续二年信息披露考核结果为D的,深交所可以视情况要求保荐机构延长持续督
采用Black-Scholes模型对认股权证进行定价,其公式是C=SN(d1)—Xe(-rt)F(d2),公式中的符号X代表()。A、行权价格B、
关于询价区间公告、发行结果公告,下列说法错误的有()。A、招股意向书公告的同时,发行人及其主承销商应刊登初步询价公告B、发行价格区间向中国证监会报
随机试题
下列哪些是构成护理病案的资料?( ) A、效果评价 B、护理措施 C、有
(73-76题共用备选答案) A.芬太尼和琥珀胆碱复合麻醉 B.地西泮和琥珀
物业经营管理企业在确定写字楼租金时,一般要认真考虑的因素包括()。
某顾客持医院处方到药品零售企业购买处方药。药品零售企业工作人员对处方进行审核发现
根据自2003年10月3日起施行的《汽车金融公司管理办法》,中国的汽车金融公司是
题目:教师,我所向往的职业要求:观点正确,语言通顺,文体不限,800字以上。
下列有关宋代编敕活动的说法,正确的是、
.家徒四壁:一贫如洗:生活A.铄石流金:骄阳似火:天气B.鱼龙混杂:良莠不齐:物品C.富丽堂皇:鳞次栉比:房屋D.道貌岸然:风华正茂:性格
患者,女性,30岁,5天前脚趾被玻璃划伤,近两天发热、厌食、说话受限、咀嚼困难、呈苦笑面容,急诊入院。 3.患者居住的病室的消毒隔离方法不正确的是()。
出生队列是指( )A.将同一民族的人列为一队B.将同一年龄组的人列为一队C.将同一性别的人列为一队D.将同一职业的人列为一队E.将同一时期出生的人列为