首页
财务会计
医药卫生
金融经济
考公考编
外语考试
学历提升
职称考试
建筑工程
IT考试
其他
登录
建筑工程
如图21所示,气体在一直立的突扩管内由下向上流动,已知d1=50mm,d2=100mm,管内的气体密度ρ=0.8kg/m3,管外的空气密度ρa=1.2kg...
如图21所示,气体在一直立的突扩管内由下向上流动,已知d1=50mm,d2=100mm,管内的气体密度ρ=0.8kg/m3,管外的空气密度ρa=1.2kg...
admin
2020-12-24
4
问题
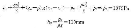
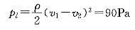
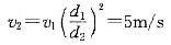
如图21所示,气体在一直立的突扩管内由下向上流动,已知d1=50mm,d2=100mm,管内的气体密度ρ=0.8kg/m3,管外的空气密度ρa=1.2kg/m3,流速v1=20m/s,1断面测压管读值h1=100mmH2O,两断面间的高差H=10m,沿程水头损失不计,则突扩管的局部压强损失和2断面的测压管读值h2分别为( )。
选项
A、2165Pa,130mmH20
B、1461Pa,120mmH2O
C、3146Pa,150mmH2O
D、1079Pa,110mmH2O
答案
D
解析
由连续性方程得
突扩管的局部压强损失为
根据气体伯努利方程得
转载请注明原文地址:https://ti.zuoweng.com/ti/shQCKKKQ
相关试题推荐
急进性肾炎的病理A.微小病变型肾病B.毛细血管内增生性肾炎C.新月体肾炎D.膜增生性肾炎E.膜性肾病
单纯型肾病综合征常见病理A.微小病变型肾病B.毛细血管内增生性肾炎C.新月体肾炎D.膜增生性肾炎E.膜性肾病
急进性肾炎的典型病理改变A、弥漫系膜增生B、毛细血管外增生C、新月体大量形成D、免疫复合物沉积E、毛细血管内增生
急性链球菌感染后肾小球肾炎的典型病理改变A、膜增生B、膜性C、毛细血管外增生D、毛细血管内增生E、系膜增生
动脉导管未闭的血流动力学改变早期常引起A、右心房、左心室扩大B、全心扩大C、左心房、左心室扩大D、右心房、右心室扩大E、左心房、右心室扩大
当患者发生阵发性室性心动过速,无血流动力学异常,首选什么治疗A、腺苷B、异搏定C、射频消融术D、普罗帕酮E、利多卡因
特发性肺含铁血黄素沉着症的急性出血期X线典型表现是A、肺野中有边缘不清、密度浓淡不一的云絮状阴影,追踪观察云絮状阴影于2~4天内又可消散B、双肺内中带条絮影
小儿肠套叠诊断首选的检查是A、空气灌肠B、腹部B超C、钡剂灌肠D、腹部X线平片E、腹部CT
孕42+3周分娩男婴,出生体重4500g,羊水Ⅲ度,生后Apgar评分1分钟为3分,窒息复苏时气管内吸出胎粪。 对于上述诊断疗效最肯定的治疗方法为A、高频
孕42+3周分娩男婴,出生体重4500g,羊水Ⅲ度,生后Apgar评分1分钟为3分,窒息复苏时气管内吸出胎粪。 呼吸机辅助呼吸后,给氧浓度为100%...
随机试题
以下关于献血者血液检验标准不正确的是 A.血比重筛选:硫酸铜法,男≥1.052
估价报告应用有效期的长短,应根据估价目的和预计估价对象的市场价格变化程度来确定,
甲股份有限公司计划2017年底收购本公司股票,则以下关于回购公司股票的说法,不正
关于水泥混凝土路面摊铺和振动的要求错误的是()。
在本案例中咨询方案应包括( )。
假如2011年进、出口额增速与2010年相同,2011年贸易顺差为()。
宣政院
习近平指出,思想政治工作从根本上说是做()的工作,必须围绕学生、关照学生、服务学生,不断提高学生思想水平、政治觉悟、道德品质、文化素养,让学生成为德才兼备...
第3题A.工资高B.工作环境好C.工作时间短D.可以学到东西
能化瘀止血的药有A.三七B.蒲黄C.茜草D.藕节E.炮姜