首页
财务会计
医药卫生
金融经济
考公考编
外语考试
学历提升
职称考试
建筑工程
IT考试
其他
登录
金融经济
设总体服从正态分布,总体方差未知,现抽取一容量为20的样本,要对总体均值进行假设检验,可选用的检验统计量是()。
设总体服从正态分布,总体方差未知,现抽取一容量为20的样本,要对总体均值进行假设检验,可选用的检验统计量是()。
admin
2020-12-24
15
问题
设总体服从正态分布,总体方差未知,现抽取一容量为20的样本,要对总体均值进行假设检验,可选用的检验统计量是()。
选项
答案
C
解析
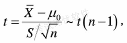
在小样本(n总体服从正态分布,总体方差未知时,对总体均值进行假设检验的统计量为
其中为样本方差。
转载请注明原文地址:https://ti.zuoweng.com/ti/t1I0KKKQ
相关试题推荐
送电线路导线的材质和结构的选择的一般原则是()。A.有较高的导电率(但一般不考虑用铜线);B.有较高的机械强度、耐振性和耐化学腐蚀性;C.满足输送容量和短路
架空送电线路设计的总体原则应()。A.贯彻国家技术经济政策,做到安全可靠,经济适用,符合国情;B.从实际出发,结合地区特点,积极慎重地推广采用成熟的新材料、新
确定最大风速时,应按当地气象台站1Omin时距平均的年最大风速作样本,采用极值I型分布作频率模型。500kV线路统计风速的髙度定为()。A.20m;B.25m
某控制室面积为320m2,单位容量为25~50W/m2,采用2X40W的铝合金栅格荧光灯具,该控制室安装灯具的数量范围是()。A.100≤N≤200;B.20
计算某水电厂髙压厂用电系统短路电流(短路点为厂用电变压器二次侧出口)。已知:①电厂采用发电机一变压器单元接线,厂用电变压器接于机端、容量2000kVA,阻...
选择某水电厂厂用电变压器容量。 已知条件:1)选用三台厂用电变压器互为备用; 2)所有同时参加最大负荷运行时,负荷的额定功率总和为1233.73kW...
选择某水电厂厂用电变压器容量。 已知条件:1)选用三台厂用电变压器互为备用; 2)所有同时参加最大负荷运行时,负荷的额定功率总和为1233.73kW...
某特大型水电厂装机6台,单机容量550MW、发电机出口装设断路器,发电机引出线及分支线均采用离相封闭母线,发电机与变压器组6kV高压母线宜采用()。A.6k
某水电厂装4台单机容量为40MW的水轮发电机组,采用2个扩大单元接线,发电机电压10.5kV,试回答该电厂厂用供电系统如何考虑。 厂用电电压和接线方式...
某水电厂装4台单机容量为40MW的水轮发电机组,采用2个扩大单元接线,发电机电压10.5kV,试回答该电厂厂用供电系统如何考虑。 厂用电电源的数量应不...
随机试题
有权领取股利的股东资格登记截止日期是()。 A、股利宣告日 B、股权登记日
可使高血压患者血压升高的药物是C() A.速感宁胶囊 B.银翘解毒片 C.
(64-66题共用备选答案) A.口蹄疫 B.布鲁菌病 C.乙型脑炎 D
以下关于存款准备金制度说法正确的是()。 ①存款准备金制度是银行创造信用货币
双母带旁母的接线方式,在()及以上进出线回路较多、输送或穿越功率较大、对
对所采集到的被审计单位的源数据,进行一系列的操作,使之规范化的过程是指()。
没有覆盖到前牙唇面或后牙额面的部分冠修复体A.嵌体B.3/4冠C.桩冠D.半冠E.烤瓷熔附金属全冠
影响建设工程进度的不利因素很多,其中()因素是最大的干扰因素。A.人为B.技术C.地质与气象D.设备、材料及配件
互联网服务提供商是向广大用户综合提供()的电信运营商。A:信息业务B:共享资源C:增值业务D:互联网接入业务E:网上交易平台
南方公司现拥有资产总额1000万元,其中股本200万元(每股面值1元、发行价格3.5元)、长期债券300万元(票面年利率为8%)。 公司为生产甲产品而进...