首页
财务会计
医药卫生
金融经济
考公考编
外语考试
学历提升
职称考试
建筑工程
IT考试
其他
登录
财务会计
A. g(x2) R 2xg(x) C. x2g(x2) D. 2xg(x2
A. g(x2) R 2xg(x) C. x2g(x2) D. 2xg(x2
tikufree
2019-12-17
12
问题
A. g(x2) R 2xg(x) C. x2g(x2) D. 2xg(x2)
选项
答案
D
解析
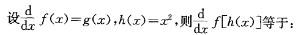
提示:利用复合函数导数公式,计算如下:[img]/upload/tiku/190/2457132_1.jpg[/img]
转载请注明原文地址:https://ti.zuoweng.com/ti/t2SNKKKQ
相关试题推荐
玫瑰在植物分类上属于蔷薇科蔷薇属,已有上千年的栽培历史,在此期间,人们通过广泛杂
节能减排是党中央、国务院作出的重大决定部署,是“十一五”时期的一项约束性指标,是
节能减排是党中央、国务院作出的重大决定部署,是“十一五”时期的一项约束性指标,是
语言文字功底扎实,大致意思是要求学者能较好地掌握研读经典和撰写论文所需要的语言文
根据图例和数字表回答下列各题: 数字表中第3行所缺失的数字对应的符号是(
根据图例和数字表回答下列各题: 数字表中第7列四个数字对应的符号是()。
根据图例和数字表回答下列各题: 数字表中第4列四个数字之积的百位对应的符号
根据图例和数字表回答下列各题: 数字表中第9列四个数字之积各位数字对应的符
根据图例和数字表回答下列各题: 数字表中第4行第3-6列数字对应的符号是(
根据图例和数字表回答下列各题: 数字表中第2行重复数字对应的符号是()。
随机试题
挑选政策被划分为高分挑选政策和低分挑选政策,其中,高分挑选政策主要用于()。
工料单价也称直接工程费单价,包括。
依据“营改增”的政策规定,下列行为中属于物流辅助服务的有()。
1975年,美国经济学家戈登(RobertJ.Gordon)提出的衡量通货膨胀
男,22岁。上腹痛1日,次日转至右下腹,伴恶心,无呕吐。查体:T38.
甲状腺激素不具哪项药理作用 A维持生长发育 B增强心脏对儿茶酚胺的敏感性
患者,男性,52岁。肝硬化,大量腹水。入院后给予利尿剂治疗,腹水量明显减少,但患者出现了淡漠少言、反应迟钝、言语不清等症状。 若此时给患者做脑电图检查,...
金融市场当中供求双方的相互作用决定了交易资产的价格,价格反过来又为潜在的市场参与者提供了信号,引导资金在不同的金融资产之间进行配置,达成供需平衡。这是金融...
下列关于碘苷的描述中,正确的是()A:药液宜新鲜配制并于冷暗处保存B:可影响角膜上皮代谢C:可用于皮肤疾病D:长期使用可出现角膜染色小点E:可延缓角膜上
下列各项,属于房地产经纪机构提供的基本服务的是()。A.代办个人住房抵押贷款B.为委托人代办税费缴纳事务C.代办解除标的房屋抵押手续D.提供与标的房屋