首页
财务会计
医药卫生
金融经济
考公考编
外语考试
学历提升
职称考试
建筑工程
IT考试
其他
登录
建筑工程
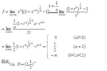
A.(1,2) B.(1,0.5) C.(2,0.5) D.(2,1)A.(1,2) B.(1,0.5) C.(2,0.5) D.(2,1)
A.(1,2) B.(1,0.5) C.(2,0.5) D.(2,1)A.(1,2) B.(1,0.5) C.(2,0.5) D.(2,1)
admin
2020-12-24
25
问题
选项
A.(1,2)
B.(1,0.5)
C.(2,0.5)
D.(2,1)
答案
C
解析
转载请注明原文地址:https://ti.zuoweng.com/ti/v0QCKKKQ
相关试题推荐
某水库有一土质岩坡,主剖面各分场面积如下图所示,潜在滑动面为土岩交界面。土的重度和抗剪强度参数如下:γ天然=19kN/m3,γ饱和=19.5kN/m3。c...
某工程软土地基采用堆载预压加固(单级瞬时加载),实测不同时刻t及竣工时(t=150d)地基沉降量s如下表所示。假定荷载维持不变。按固结理论,竣工后200d...
某场地为细砂层,孔隙比为0.9,地基处理采用沉管砂石桩,桩径0.5m,桩位如图所示(尺寸单位:mm),假设处理后地基土的密度均匀,场地标高不变,问处理后细...
某公路桥梁基础采用摩擦钻孔灌注桩,设计桩径为1.5m,勘察报告揭露的地层条件,岩土参数和基桩的入土情况如图所示。根据《公路桥涵地基与基础设计规范》(JTG...
某建筑场地勘察资料见下表,按照《建筑抗震设计规范》(GB50011—2010)的规定,土层的等效剪切波速最接近下列哪个选项?( ) A、250m/s
某钢筋混凝土墙下条形基础,宽度b=2.8m,高度h=0.35m,埋深d=1.0m,墙厚370mm。上部结构传来的荷载:标准组合为F1=288.0kN/m,...
柱基A宽度b=2m,柱宽度为0.4m,柱基内、外侧回填土及地面堆载的纵向长度均为20m。柱基内、外侧回填土厚度分别为2.0m、1.5m,回填土的重度为18...
某打入式钢管桩,外径为900mm。如果按桩身局部压屈控制,根据《建筑桩基技术规范》(JGJ94—2008),所需钢管桩的最小壁厚接近下列哪个选项?(钢管...
某建筑采用条形基础,其中条形基础A的底面宽度为2.6m,其他参数及场地工程地质条件如图所示。按《建筑地基基础设计规范》(GB50007—2011),根据...
某高度60m的结构物,采用方形基础,基础边长15m,埋深3m。作用在基础底面中心的竖向力为24000kN。结构物上作用的水平荷载呈梯形分布,顶部荷载分布值...
随机试题
税收执法合法性原则具体要求体现在()。 A、执法程序合法 B、执法内容合法
常见扣件形式有3种,下列关于扣件形式的说法中,错误的是()。 A.扣件按照结构
在房地产居间业务中,房源一般按其产品性质可以分为()。 A、住宅、商铺、收益性
背景资料 某机电设备安装公司经招标投标,获得某厂生产线的机电设备安装工程,并与
判定卵巢未成熟畸胎瘤的恶性程度,主要依据下列何种成分 A.幼稚软骨岛 B.间
2013—2017年,当年完成环保验收项目环保投资最高的年份其城镇环境基
子宫颈刮片的标本应放入的溶液是
IndianEnglishisa__________varietyof
如图所示,驾驶机动车在雨天行经交叉口时必须鸣喇叭,并加速通过,以免造成交通混乱。
维生素K缺乏时发生 A贫血 B溶血 C红细胞增多症 D血友病 E凝血因子合成障碍症