首页
财务会计
医药卫生
金融经济
考公考编
外语考试
学历提升
职称考试
建筑工程
IT考试
其他
登录
财务会计
C
C
昕玥
2019-12-17
7
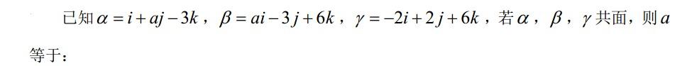
问题
选项
答案
C
解析
[img]/upload/tiku/36/2207558_1.jpg[/img]
转载请注明原文地址:https://ti.zuoweng.com/ti/vtoNKKKQ
相关试题推荐
水准测量中要求前后视距距离大致相等的作用在于削弱地球曲率和大气折光的影响,还可削
过圆水准器零点的球面法线称为: A.水准管轴B.铅垂线C.圆水准器轴D.
水准管分划值的大小与水准管纵向圆弧半径的关系是: A.成正比B.成反比C.
过水准管零点所作其内壁圆弧的纵向切线称为水准管轴。当气泡居中时,该轴处于下列中哪
微倾水准仪由望远镜、基座和下列中的哪部分组成? A.竖轴B.圆水准器C.水
水准仪有DS0.5、DS1、DS3等多种型号,其下标数字0.5、1、3等代表水
M点高程HM=43.251m,测得后视读数a=1.000m,前视读数b=
平整场地时,水准仪读得后视读数后,在一个方格的四个角M、N、OI和P点上读得前视
测量工作的基本原则是从整体到局部,从高级到低级,还有下列中的哪一项原则? A.
从测量平面直角坐标系的规定判断,下列中哪一项叙述是正确的? A.象限与数学坐标
随机试题
3日龄足月儿,其母患糖尿病,患儿于今日上午查体见心率175次/分。目前最需要做的
关于对城市整体空间的组织理论,错误的是()
DNA复制时,以序列5′-TAGA-3′为模板合成的互补结构是 A5′-TC
多梦易醒,头晕目眩,心悸健忘,纳呆,面色不华,舌淡苔白,脉细弱。治疗宜选A.温胆汤B.归脾汤C.安神定志丸D.丹梔逍遥散
重要器官或系统功能有严重损害、缩短或危及生命,应判为A.弱轻度B.轻度C.中度D.重度E.极重度
咨询中,心理问题具体内涵指的是()。A:行为问题B:道德问题C:个性问题D:情绪问题
实行持仓限额制度的目的在于()。A:防范操纵市场价格的行为B:防止成交量过大C:防止期货市场风险过度集中于少数投资者D:防止套利
基尼系数是衡量市场集中度的指标之一,当该系数等于1时,表示企业的规模()。A:均匀B:不相等C:完全相等D:完全不均等
财务会计报告是指企业对外提供的反映企业在某一特定日期财务状况和某一会计期间()的文件。A.会计核算B.经营成果C.经济运营D.现金流量E.经济活动
下列关于业务委派和业务实施的规定,表述正确的是( )。A、项目经理由税务师事务所选定,是项目最高负责人B、对重要质量(风险)控制事项的关注,应当贯穿于业务实施