首页
财务会计
医药卫生
金融经济
考公考编
外语考试
学历提升
职称考试
建筑工程
IT考试
其他
登录
建筑工程
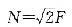
如图12所示构架中AB杆的轴力为( )。
如图12所示构架中AB杆的轴力为( )。
admin
2020-12-24
13
问题
如图12所示构架中AB杆的轴力为( )。
选项
答案
B
解析
由∑Y=0,Nsin45°=F
转载请注明原文地址:https://ti.zuoweng.com/ti/whQCKKKQ
相关试题推荐
某均匀黏性土中开挖一路堑,存在如图所示圆弧滑动面,其半径为14m,滑动面长度28m,通过圆弧滑动面圆心O的垂线将滑体分为两部分,坡里部分的土重W1=145...
某矩形基础,底面尺寸2.5m×4.0m,基底附加压力p0=200kPa,基础中心点下地基附加应力曲线如图所示。问:基底中心点下深度1.0~4.5m范围内附...
某饱和软黏土地基上的条形基础,基础宽度3m,埋深2m,在荷载F、M共同作用下,该地基发生滑动破坏,已知圆弧滑动面如图(图中尺寸单位为mm)所示,软黏土饱和...
如图所示填土采用重力式挡墙防护,挡墙基础处于风化岩层中,墙高6.0m,墙体自重260kN/m,墙背倾角15°,填料以建筑弃土为主,重度17kN/m3,对墙...
某承受轴心荷载的柱下独立基础如图所示(图中尺寸单位为mm),混凝土强度等级为C30。问:根据《建筑地基基础设计规范》(GB50007—2011),该基础...
如图所示,某安全等级为一级的深基坑工程采用桩撑支护结构,侧壁落底式止水帷幕和坑内深井降水。支护桩为F800钻孔灌注桩,其长度为15m,支撑为一道F609×...
如图所示某折线形均质滑坡,第一块的剩余下滑力为1150kN/m,传递系数为0.8,第二块的下滑力为6000kN/m,抗滑力为6600kN/m。现拟挖除第三...
某四桩承台基础,准永久组合作用在每根基桩桩顶的附加荷载为1000kN,沉降计算深度范围内分为两计算土层,土层参数如图所示,各基桩对承台中心计算轴线的应力影...
在某场地采用对称四极剖面法进行电阻率测试,四个电极的布置如图所示,两个供电电极A、B之间的距离为20m,两个测量电极M、N之间的距离为6m。在一次测试中,...
某基桩采用混凝土预制实心方桩,桩长16m,边长0.45m,土层分布及极限侧阻力标准值、极限端阻力标准值如图所示,按照《建筑桩基技术规范》(JGJ94—2...
随机试题
X线中的最短波长指的是 A.电子接近原子核减速,丢失能量转换的X线光子 B.
集体所有制企业职工个人在企业改制过程中,以股份形式取得的仅作为分红依据,不拥有所
职工薪酬具体包括()。
制约矿业工程项目规模的因素有( )。
下列关于证券投资基金与证券投资信托的说法,正确的是( )。
按第三强度理论计算如图5-58所示单元体的相当应力是()MPa。 A.
涉密信息系统应当按照国家保密标准配备保密设施、设备。保密设施、设备应当与涉密信息系统____。(出题单位:重庆市委直属机关工委推荐单位:重庆学习平台)A、同步
用于冲洗开放性伤口或腔体的无菌溶液是()。A:搽剂B:栓剂C:洗剂D:冲洗剂E:灌肠剂
某钢结构工程全部采用卢森堡钢材,所有钢材均应具有()。A、商检报告B、绿色节能标志C、环保认证证书D、质量认证标志
20x4年年初远华公司购入天美公司75%的股权,成本为200万元,20x4年年末长期股权投资的可收回金额为165万元,故计提了长期股权投资减值准备35万元...