首页
财务会计
医药卫生
金融经济
考公考编
外语考试
学历提升
职称考试
建筑工程
IT考试
其他
登录
财务会计
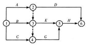
在下列双代号网络图中,互为平行工作的有()
在下列双代号网络图中,互为平行工作的有()
昕玥
2019-12-17
12
问题
在下列双代号网络图中,互为平行工作的有()
选项
A、工作A和工作BB、工作A和工作EC、工作A和工作GD、工作B和工作GE、工作B和工作C
答案
AE
解析
在网络图中,相对于某工作而言,可以与该工作同时进行的工作即为该工作的平行工作。
转载请注明原文地址:https://ti.zuoweng.com/ti/wimfKKKQ
相关试题推荐
施工进度控制的主要工作环节包括:①编制资源需求计划;②编制施工进度计划;③组织进
图纸综合会审工作,一般由( )负责组织。 A、建设单位 B、设计单位
在不影响其紧后工作最早开始时间的前提下,本工作可利用的机动时间为( )。 A
某工程双代号网络计划如图所示,其中E工作的最早开始时间和最迟开始时间是( )。
关于工程网络计划的说法,正确的是( )。(2013、2012年) A、关键线
某工程双代号网络计划如下图所示,关键线路有( )条。 A、1 B、2
工程施工过程中索赔事件发生以后,承包人首先要做的工作是( )。 A、向监理工
( )适用于常压或压力不高、温度较低和静载荷作用下工作的设备。 A、砖板衬里
当双代号网络计划的计算工期等于计划工期时,下列关于关键工作的说法错误的是( )。
如图所示双代号时标网络计划中,如果B、D、J三项工作因共用一台施工机械而必须依次
随机试题
数据字典是数据流程图的辅助资料,是数据分析和数据管理的重要工具。 A.对 B
通常被用来作为反映通货膨胀(或紧缩)程度的指标是()。
税务师在2019年2月对某工业企业2018年度年终结账后的纳税情况进行审核时发现
由深圳证券交易所决定撤销其退市风险警示的公司,应当按照深圳证券交易所要求在撤销退
对于钢筋混凝土独立基础有效高度的规定,下列哪个选项是正确的?() A.从基础
抑郁症的急性期,抗抑郁剂治疗至少 A1~2周B2~4周 C4~6周
下列哪种物质是体内硫酸基的供体 APAPS BSAM CcA
班级群体的特点是什么?
广播电视中心的场地选择要求远离电磁干扰源、地震断裂带和()等。A.城市中心B.大型公共设施C.发射台及微波站D.强噪声源
2014年6月,张某与甲公司订立委托合同,由张某为甲公司开发新产品的外观设计。2015年10月10日该设计完成,甲公司认为方案没有达到理想效果,拒绝支付部...