首页
财务会计
医药卫生
金融经济
考公考编
外语考试
学历提升
职称考试
建筑工程
IT考试
其他
登录
财务会计
A.0 B.1 C.2 D.3C
A.0 B.1 C.2 D.3C
昕玥
2019-12-17
7
问题
选项
A.0B.1C.2D.3
答案
C
解析
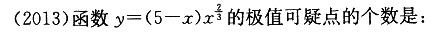
[img]/upload/tiku/212/2835489_1.jpg[/img][img]/upload/tiku/212/2835489_1_1.jpg[/img]
转载请注明原文地址:https://ti.zuoweng.com/ti/ww4NKKKQ
相关试题推荐
既可以激动受体又可以促使递质释放的药物是
真核生物的RNA聚合酶为 A.单顺反子 B.多顺反子 C.内含子与外显子相
原核生物的RNA聚合酶为 A.单顺反子 B.多顺反子 C.内含子与外显子相
真核基因的转录产物为 A.单顺反子 B.多顺反子 C.内含子与外显子相间排
低磷酸酯酶症引起的牙骨质发育不全表现为
鳃裂囊肿发生于下颌角以上和腮腺者多为
关于坏死性唾液腺化生特征的描述,错误的是
下列表达广谱角蛋白的细胞是
可进一步分化形成成牙本质细胞的结构是
Epulis一词原意是指
随机试题
患者胸外伤、大量血胸诊断明确,应首先选择什么治疗措施 A.胸腔闭式引流术 B
银监会可以对发生信用危机的银行进行重组。若重组失败,银监会可以决定终止重组,并依
社会工作者小梁从与服务对象小强的面谈中了解到.小强学习成绩不好,平时做作业拖沓、
肺炎胸痛放射到上腹部时病变常累及
变电站安排刘刚10月3日加班,变电站应支付不低于刘刚工资()的工资报酬。
在现代市场经济国家,以法律形式确定下来的劳动力市场的制度结构要素主要包括()。【
呼吸衰竭最主要的临床表现是A.呼吸费力伴呼气延长B.呼吸频率增快C.呼吸困难与发绀D.神经精神症状E.双肺有大量湿啰音
根据建筑物的防雷分类,属于第二类防雷建筑物的为()。A.大型火车站B.国宾馆C.军用弹药库 D.省级档案馆
求助者一般资料:小吴,女性,19岁,高三学生。 案例介绍:求助者生活在一个普通家庭,父母都是普通的工人。求助者的学习成绩中上等,而且自己一直努力学习,父...
Thepolicemenactedquicklybecauseliveswereatstake.()A.indifficultyB.ind