首页
财务会计
医药卫生
金融经济
考公考编
外语考试
学历提升
职称考试
建筑工程
IT考试
其他
登录
考公考编
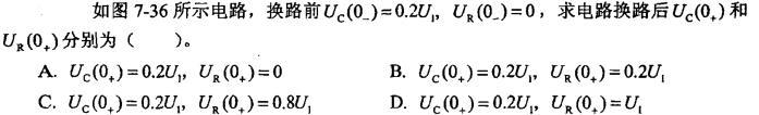
C正确答案是C。 提示:换路前后电容电压不发生突变。
C正确答案是C。 提示:换路前后电容电压不发生突变。
shuhaiku
2020-05-20
5
问题
选项
答案
C
解析
正确答案是C。提示:换路前后电容电压不发生突变。
转载请注明原文地址:https://ti.zuoweng.com/ti/8PQMKKKQ
相关试题推荐
对于(),风险提示的内容应至少包括以下语句:“本理财计划是高风险投资产品,您
[解析]答案为ABCE。根据《商业银行个人理财业务风险管理指引》第五十二条规定可
对于保证收益理财计划和保本浮动收益理财计划,风险提示的内容至少应包括以下语句(
银行工作人员为客户服务时要做到风险提示,下列违规的是()。
根据规定,银行工作人员为客户服务时要做风险提示,下列做法不正确的是()。
图2-1所示电路中A点的电压uA为下列何值? (A)5V(B)5.
如图所示电路中u=-10V,则6V电压源发出的功率为下列何值? (A)
—条110kV的供电线路,输送有功为22MW,功率因数为0.74。现装设串联电容
电力系统的部分接线如图所示,各地电网的额定电压示于图中,设变压器T1工作于接+2
一放大电路如图所示,当逐渐增大输入电压u1的幅度时,输出电压u0波形首先出现顶部
随机试题
室颤电流是通过人体引起心室发生纤维性颤动的最小电流,当电流持续时间超过心脏周期时
人本管理机制具体包括( )。 A、目标机制 B、压力机制 C、约束机制
6、客货共线铁路验收标准是与行车速度等条件有密切关系的质量指标,它是按时速(
阿司匹林的药理作用
借款人到贷款银行填报《个人住房借款申请表》并提交的材料有( )
会计职业道德的“强化服务”就是要求会计人员树立服务意识,提高服务质量,努力维护和
绘制土的三轴剪切试验成果莫尔一库仑强度包线时,莫尔圆的画法是()。 A.在σ轴上以σ3为圆心,以(σ1-σ3)/2为半径 B.在σ轴上以σ1为圆心,...
下列各项中属于固定资产投资统计范围的有()A.城乡建设项目投资B.房地产开发投资C.城镇工矿区私人建房投资D.国防建设项目投资E.人防建设项目投资
王某在某市家电协会举办的家电产品博览会上购买了1台春风厂参加展览的一款电视机,该电视机在使用过程中发生爆炸,炸伤王某,下列说法不正确的是:() ...
格兰诺维特提出了人际连接的强度概念,他指出“强连接”对自我的社会心理活动有重要作用,互动的目的是维持既有的连接。一般来讲,个人从“强连接”中更容易获得()。A.