首页
财务会计
医药卫生
金融经济
考公考编
外语考试
学历提升
职称考试
建筑工程
IT考试
其他
登录
财务会计
如图,在一带电量为Q的导体球外,同心地包有一各向同性均匀电介质球壳,其相对电容率
如图,在一带电量为Q的导体球外,同心地包有一各向同性均匀电介质球壳,其相对电容率
书海库
2019-12-17
14
问题
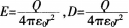
如图,在一带电量为Q的导体球外,同心地包有一各向同性均匀电介质球壳,其相对电容率为εr,,壳外是真空,则在壳外P点处(OP=r)的场强和电位移的大小分别为( )。
A.
B.
C.
D.
选项
答案
C
解析
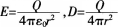
[img]/upload/tiku/447/5424874_1.png[/img]
转载请注明原文地址:https://ti.zuoweng.com/ti/14VlKKKQ
相关试题推荐
一立方体如图所示从中挖掉一个圆锥体,然后从任意面剖开,下面哪一项不可能是该立方体
如图所示,一个长方体挖掉了部分圆柱体,从任意面剖开,哪一项不可能是该立体图形的截
2014年.全社会用电量55233亿千瓦时。分产业看,第一产业用电量994亿千瓦
2014年.全社会用电量55233亿千瓦时。分产业看,第一产业用电量994亿千瓦
如图所示,有一个信号源和五个接收器,接收器与信号源在同一个串联线路中时,就能接收
如图它们都表示的是输出所有立方小于l000的正整数的程序框图.那么应在两个空框中
由C、CuO、Fe三种物质组成的混合物,放在试管中,如图所示高温加热。 当
某图像文件的参数如图1所示.下列叙述不正确的是( )。
如图4所示的流程图,若输入的值是-5时,输出的结果为( )。
若要在Excel中生成如图8所示的饼图,需要在图9中选中选项( )。
随机试题
以下哪项是有机磷农药中毒的特征性表现 A.四肢抽搐 B.恶心、呕吐 C.牙
胰岛细胞瘤免疫组化染色无意义的是 A.INS阳性 B.GLU阳性 C.GA
下列工作内容中,不属于数字高程模型生产内容的是()。
慢性阻塞性肺疾病最严重的并发症是
保修阶段的监理应依据委托监理合同所约定的监理工作的()开展工作。
根据各种化学腐蚀所引起的破坏作用,将下列哪种离子含量和pH值归纳为分解类腐蚀性的评价指标? A.CO2、HCO3-B.NH4+、Mg2+C.SO42-、...
甲、乙、丙三人投资成立了一家有限责任公司。甲出资10万元,乙出资30万元,丙以价值50万元的房屋出贵。 后甲和丙因公司连续两年无法召开股东会,公司经...
井巷工程的分项工程质量合格,要求抽查的主控项目()。A.75%以上测点合格,其余的25%无重大问题B.75%及以上测点合格,其余测点不影响安全和使用C
社会工作者小王近期将赴某优抚医院做志愿者,为此他需要先了解优抚医院社会工作服务对象的需求。以下不属于优抚医院社会工作服务对象的主要需求的是()A:基本生存需要
关于我国现行的劳动标准,说法正确的是()。A:以用人单位自定标准为主B:全部属于法定标准C:以法定劳动标准为主,是国家强制性标准D:以法定劳动标准为主,是