首页
财务会计
医药卫生
金融经济
考公考编
外语考试
学历提升
职称考试
建筑工程
IT考试
其他
登录
财务会计
进行单因子方差分析时,涉及( )个正态总体。 A. 3 B. 5 C
进行单因子方差分析时,涉及( )个正态总体。 A. 3 B. 5 C
天天题库
2019-12-17
2
问题
进行单因子方差分析时,涉及( )个正态总体。A. 3 B. 5C.10 D. 15
选项
答案
B
解析
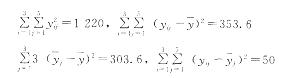
。考察的是5种不同温度下化工产品的得率,因此是5个正态总体。
转载请注明原文地址:https://ti.zuoweng.com/ti/1uANKKKQ
相关试题推荐
埃里克森所属的学派是() A.美国行为主义B.法国精神分析C.美国精神分
分析下表所反映的幼儿记忆的特点。
在有关邻居关系的故事中,某教师让儿童对邻居王阿姨的心理状态进行分析,问:“王阿姨
有的老师怕影响总体成绩,不让成绩差的学生参加考试,侵犯了学生的() A.受教
教师的教育工作能力不包括()。 A.分析与综合的能力B.语言表达能力、教育
精神分析学派的创始人{pz_填空}认为,人的性本能是最基本的自然本能,是推动人的
心理教育课的教学模式包括:诱导式、自我分析模式、{pz_填空}。
对于情感以及道德行为表现的评价常常采用{pz_填空}的评价手段,如案卷分析、观察
知识获得的途径主要是通过直观和()。 A.概括B.比较C.分析D.综合
分析归因理论,并结合实际论述这一理论对学生学习动机的启示。
随机试题
3.教育教学计划依据课程目标或教育目标的层次可分为年龄班计划、、月(
普鲁卡因是古柯碱结构改造后所得,其结构改造达到的最佳目的是 A.便于人工合成
卷扬机使用时需要注意的是()。
高一(2)班的班主任不仅关注学生的学习成绩,还注意到学生德、智、体、美诸方面的发
地线应满足电气和机械使用条件要求,可选用()之一。 A.钢芯铝绞线;B.钢芯
收购要约约定的收购期限不得少于()日,并不得超过()日;但是出现竞争要约的除外。
左边给定的是纸盒的外表面,下面哪一项能由它折叠而成?
断肢再植成功率最高的上臂外伤种类是A.被机床压断的上臂B.被搅拌机绞断的上臂C.被火车碾压断的上臂D.被劫匪利刀砍断的上臂
《国务院关于落实科学发展观加强环境保护的决定》中提出,要加快环保产业体系建设的()。A:国产化B:国际化C:现代化D:标准化
甲公司是一家股份制有限责任公司,所得税率为25%,采用资产负债表债务法核算所得税,法定盈余公积按净利润的10%提取。甲公司每年实现税前会计利润800万元。...