首页
财务会计
医药卫生
金融经济
考公考编
外语考试
学历提升
职称考试
建筑工程
IT考试
其他
登录
财务会计
设A、B坐标系为施工坐标系,A轴在测量坐标系中的方位角为α,施工坐标系的原点为O
设A、B坐标系为施工坐标系,A轴在测量坐标系中的方位角为α,施工坐标系的原点为O
恬恬
2019-12-17
1
问题
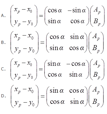
设A、B坐标系为施工坐标系,A轴在测量坐标系中的方位角为α,施工坐标系的原点为O′,其坐标为x0和y0,下列何项表达了点p的施工坐标Ap、Bp转换为测量坐标xp、yp的公式( )。
选项
答案
A
解析
一般以纵轴为x,横轴为y,方位角则是以坐标纵轴北方向为起始,顺时针量到直线的水平角,如题11解图所示,xp-x0=Apcosα-Bpsinα,yp-y0=Apsinα+Bpcosα。[img]/upload/tiku/531/9402134_1.png[/img]
转载请注明原文地址:https://ti.zuoweng.com/ti/2jq9KKKQ
相关试题推荐
根据《标准施工招标文件》,合理化建议书的内容应包括()。
下列属于施工合同执行者进行合同跟踪的依据有()。
施工合同签订后,承包人应对施工合同进行跟踪,跟踪的对象包括()。
工程变更一般是指在施工过程中,根据合同约定对()等做出的变更。
对施工合同执行者而言,合同跟踪的对象有()。
施工期间,对质量问题严重的单位,政府质量监督机构可根据问题的性质签发()。
政府质量监督部门对施工中发生严重问题的单位可以采取的处罚是()。
在工程项目开工前,建设工程质量监督机构在施工现场进行第一次监督检查工作的重点是(
在工程项目开工前,建设工程质量监督机构在施工现场召开监督会议,公布监督方案,提出
对施工中发现的质量问题严重的施工单位,工程质量监督机构可以发出()予以处理。
随机试题
一般来说,美式期权价格比欧式期权价格()。 A、低 B、高 C、相等 D
由肾实质性因素导致的急性肾衰中,最常见的类型是 A.急性肾炎 B.急进性肾炎
脑出血最常见的病因为 A、脑动脉粥样硬化 B、高血压 C、血液病
由两家或两家以上银行基于相同贷款条件,依据同一贷款协议。按约定时间和比例,通过代
下齿槽座点为A.Gn点B.关节点C.B点D.S点E.D点
西欧中世纪的主要学校类型是教会学校,分为()三个层次。A.僧院学校B.宫廷学校C.大主教学校D.职官学校E.教区学校
牙周病流行特征不包括A:地区分布B:时间分布C:性别分布D:年龄分布E:细菌种群分布
根据《城市规划编制办法》的规定,直辖市、省会城市、国务院指定市的城市总体规划编制,应当向()提出报告。A:国务院环境保护主管部门B:国务院城乡规划主管部门C
安全阀和爆破片是压力容器上常见的安全装置,在使用的时候因为需要,常常将他们组合起来使用,下列关于安全阀和爆破片的组合说法中正确的是()。A.并联时,安全阀的起
郑某因交通肇事罪被检察院提起公诉,被害人谢某就其汽车报废提起附带民事诉讼,但郑某有转移财产的行为,以下哪个说法正确?() A.检察院决定查封被告人的...