首页
财务会计
医药卫生
金融经济
考公考编
外语考试
学历提升
职称考试
建筑工程
IT考试
其他
登录
财务会计
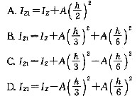
若已知如图所示三角形的面积A和惯性矩Iz,则下列结论正确的是( )。
若已知如图所示三角形的面积A和惯性矩Iz,则下列结论正确的是( )。
Freeti
2019-12-17
9
问题
若已知如图所示三角形的面积A和惯性矩Iz,则下列结论正确的是( )。
选项
答案
D
解析
设三角形的形心轴ZC与Z平行,则根据平行移动公式可得:
转载请注明原文地址:https://ti.zuoweng.com/ti/7F8sKKKQ
相关试题推荐
试验制剂与其静脉给药参比制剂的血药浓度一时间曲线下面积的比值,称为
试验制剂与参比制剂血药浓度一时间曲线下面积的比值,称为
结果一致的Ⅰ级临床研究结论属于循证医学证据推荐强度的
陈某在8月1日向李某发出一份传真,出售房屋一套,面积90平方米,价款
C图形最大信息是面,首先考虑数面,4221数量除法运算可知最后一个为2AB排除再观察图形,都有三角形的元素,即为整体求同,则选择C选项。
如图所示,立方体上叠加圆柱体在打通一个圆柱孔,然后从任意面剖开,下面哪一项不可能
如右图所示,甲和乙在面积为54π的半圆形游泳池内游泳,他们分别从位置A和B同时出
均质细直杆OA长为ι,质量为m,A端固结一质量为m的小球(不计尺寸),如图所示。
在对财务现状进行分析后,理财师可以得出一些初步的结论、对客户进行一些初步的建议,
( )是指商业、餐饮、服务企业,为扩大网点、改善服务设施、增加仓储面积等所需资
随机试题
高中体育《田径接力跑和足球脚掌接球技术》 一、考题回顾 题目来源:2019年
Lb2A3214继电保护的“三误”是()。
TMD患者矫治中应注意的问题有
从所给的四个选项中,选择最合适的一个填入问号处,使之呈现一定的规律性: A
在中国古代典籍中,古波斯宗教领袖琐罗亚斯德创立的宗教被称为()。
足少阴肾经到达的部位有
义务教育法规定,学校()分设重点班和非重点班。A.可以B.不得C.应当D.适当
乳酸杆菌的检测方法是A.Synder试验B.DentobuffStrip法C.Dentocult-LB法D.MSBB法E.激光荧光检测法
消化不良的临床表现A.伴有腹痛、胀气及肠鸣音增加或亢进,以左腹部显著,进食后症状加重,排便或排气后缓解B.头痛、四肢关节痛、咽喉痛、畏寒、乏力、鼻塞或咳嗽C
关于商品经济与市场经济,下列说法错误的是()。A:商品经济是直接以消费为目的的经济活动方式B:商品经济是相对于自然经济而言的C:市场经济是相对于计划经济而言