首页
财务会计
医药卫生
金融经济
考公考编
外语考试
学历提升
职称考试
建筑工程
IT考试
其他
登录
建筑工程
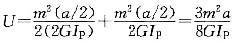
如图14所示变截面受扭圆杆的应变能的值为( )。
如图14所示变截面受扭圆杆的应变能的值为( )。
admin
2020-12-24
4
问题
如图14所示变截面受扭圆杆的应变能的值为( )。
选项
答案
B
解析
转载请注明原文地址:https://ti.zuoweng.com/ti/ASQCKKKQ
相关试题推荐
某均匀黏性土中开挖一路堑,存在如图所示圆弧滑动面,其半径为14m,滑动面长度28m,通过圆弧滑动面圆心O的垂线将滑体分为两部分,坡里部分的土重W1=145...
某矩形基础,底面尺寸2.5m×4.0m,基底附加压力p0=200kPa,基础中心点下地基附加应力曲线如图所示。问:基底中心点下深度1.0~4.5m范围内附...
某3m×4m矩形独立基础如图(图中尺寸单位为mm)所示,基础埋深2.5m,无地下水。已知上部结构传递至基础顶面中心的力为F=2500kN,力矩为M=300...
某饱和软黏土地基上的条形基础,基础宽度3m,埋深2m,在荷载F、M共同作用下,该地基发生滑动破坏,已知圆弧滑动面如图(图中尺寸单位为mm)所示,软黏土饱和...
某公路工程采用电阻应变式十字板剪切试验估算软土路基临界高度,测得未扰动土剪损时最大微应变值Ry=300με,传感器的率定系数ξ=1.585×10`-4kN...
某柱下阶梯式承台如图所示,方桩截面为0.3m×0.3m,承台混凝土强度等级为C40(fc=19.1MPa,ft=1.71MPa)。根据《建筑桩基技术规范》...
某多层建筑采用条形基础,宽度1m,其地质条件如图所示,基础底面埋深为地面下2m,地基承载力特征值为120kPa,可以满足承载力要求,拟采用减沉复合疏桩基础...
某筏板基础,平面尺寸为12m×20m,其地质资料如图所示,地下水位在地面处。相应于作用效应准永久组合时基础底面的竖向合力F=18000kN,力矩M=820...
某承受轴心荷载的柱下独立基础如图所示(图中尺寸单位为mm),混凝土强度等级为C30。问:根据《建筑地基基础设计规范》(GB50007—2011),该基础...
某四桩承台基础,准永久组合作用在每根基桩桩顶的附加荷载为1000kN,沉降计算深度范围内分为两计算土层,土层参数如图所示,各基桩对承台中心计算轴线的应力影...
随机试题
下列属于基金投资交易过程中的风险的是( )。 A.投资组合风险 B.
强化理论源自于哪种理论观点 A.奥地利精神分析学派 B.人本主义 C.行为
甲向乙借款200万元,丙作为保证人,借款期间为2017年1月1日起至20
结合商业银行经营的主要特征,按诱发风险的原因,巴塞尔委员会将商业银行面临的风险划
根据《建设工程监理规范》(GB/T50319-2013),编制工程建设监理实施细
—次会议某单位邀请了10名专家,该单位预定了10个房间,其中一层5间、二层5间。
股权投资基金信息披露义务人披露基金信息中的禁止行为包括()。 Ⅰ.公开披露或者变相公开披露 Ⅱ.违规承诺收益或者承担损失 Ⅲ.诋毁其他基金管理人、...
贵重药材是A.何首乌B.斑蝥C.牡蛎D.牛黄E.川芎
配制注射液时加入活性炭以除热原,是利用了热原的A:被吸附性B:可挥发性C:滤过性D:不挥发性E:带电性
建设单位通过市场机制取得建设用地,不仅应承担征地补偿费用、拆迁补偿费用还须向土地所有者支付()。A.安置补助费B.土地出让金C.青苗补偿费D.土地管理费