首页
财务会计
医药卫生
金融经济
考公考编
外语考试
学历提升
职称考试
建筑工程
IT考试
其他
登录
财务会计
书海库
2019-12-17
2
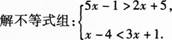
问题
选项
答案
解析
[img]/upload/tiku/459/6542489_1.png[/img][img]/upload/tiku/459/6542489_1_1.png[/img]
转载请注明原文地址:https://ti.zuoweng.com/ti/C4zlKKKQ
相关试题推荐
自2016年5月1日起,我国全面推开营改增试点,将建筑业、房地产业、金融业、生活
国务院近期印发的《北京加强全国科技创新中心建设总体方案》明确了北京加强全国科技创
燕京八绝是指具有“京作”特色的八种工艺门类,它们充分汲取了各地民间工艺的精华,又
下列选项中,属于儒家观点的是()
我国海域广阔,有四大海域,从南到北排列依次为()
下列各项所描写的人物中,与其它三项不处于同一时代的是()
按照当前我国法律规定,地方各级人民政府每届任期几年?()
警方在一家餐馆内展开抓捕行动,由于犯罪嫌疑人暴力抵抗,餐馆部分物品在抓捕过程中被
根据《中华人民共和国物权法》,下列属于不动产的是()
在市场经济下,当一国处于景气下降阶段时,经济上不可能出现的特征是()
随机试题
好发于左心房,肉眼呈球形、息肉样、分叶状或绒毛状的心脏常见肿瘤可为 A.横纹肌
不宜与人参配伍的药物是 A.乌头 B.甘草 C.漏芦 D.五灵脂 E.
下列属于设备制造前的质量控制的是( )。 A、加工作业条件的控制 B、工
某慢性肺源性心脏病患者入院后经抗感染、扩张支气管、静滴呼吸兴奋剂后查血气:pH7
某女,50岁,缺失,前牙区Ⅲ°深覆,余留牙无异常。可摘局部义齿卡环可放置在A.B.C.D.E.
Thereareno___differencesbetweenthetwoproducts,despitethefactthate...
教育能再生产劳动力。
公卫医师何某在取得执业医师资格证书和执业许可证后的1年里,擅自从事婚前医学检查,遗传病诊断和产前诊断,虽经卫生行政部门制止,仍不改正,并实施终止妊娠手术,...
迟发型超敏性炎症发生中,下列哪种细胞因子能活化巨噬细胞AIFN-飞BTNFCTGF-PDLTEIL-10
通过制订和切实有效地执行规章与公约,确保社区居民遵循社会规范和社会价值,指的是社区的()。A:社区教育功能B:心理支持功能C:社会控制功能D:社会参与功能