首页
财务会计
医药卫生
金融经济
考公考编
外语考试
学历提升
职称考试
建筑工程
IT考试
其他
登录
职称考试
设,在x=0连续,且对任何x,y∈R有f(x﹢y)=f(x)﹢f(y) 证明:(1)f在R上连续;(2)f(x)=xf(1)。
设,在x=0连续,且对任何x,y∈R有f(x﹢y)=f(x)﹢f(y) 证明:(1)f在R上连续;(2)f(x)=xf(1)。
admin
2020-12-24
2
问题
设,在x=0连续,且对任何x,y∈R有f(x﹢y)=f(x)﹢f(y)
证明:(1)f在R上连续;(2)f(x)=xf(1)。
选项
答案
解析
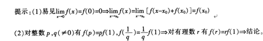
(1)因f(0) =f(0+0)=f(0) +f(0) =2f(0),所以f(0)=0。又对任意算∈(一∞,+∞)有△y=f(x+△x) -f(x) =f(x) +f(△x) -f(x) =f(△x)
(2)先证对任意有理数r,都有以rx)=rf(x)。事实上,令y=x,得以2x)=2f(x),由数学归纳法
转载请注明原文地址:https://ti.zuoweng.com/ti/CPH8KKKQ
相关试题推荐
材料: 教师在“DNA是主要的遗传物质”教学设计中,教学目标设定如下: 知识目标与技能目标: 掌握证明DNA是遗传物质的两个实验的过程和原理,以及...
下列实验中没有设置对照实验的是( )。A.温特证明造成胚芽鞘弯曲的刺激是一种化学物质B.鲁宾和卡门证明光合作用释放的氧全部来自水C.萨顿在实验观察的基础上
在生命科学发展过程中,证明DNA是遗传物质的实验是( )。 ①孟德尔的豌豆杂交实验②摩尔根的果蝇杂交实验 ③肺炎双球菌转化实验④T2噬菌体侵染大...
图4是腐乳制作的流程示意图。 问题: (1)科学研究证明,许多种微生物参与了豆腐的发酵。其中起主要作用的是毛霉。毛霉是一种丝状__________...
经过30多年的不懈努力,深圳迅速从一个边陲小镇发展成为一个现代化大城市,综合经济实力跃居全国大中城市前列。这充分证明了( )。A.改革开放是发展进步的活力源泉
2017年两会期间,习近平总书记参加上海代表团审议时强调,走出一条符合超大城市特点和规律的社会治理新路子是关系上海发展的大问题。实践证明,城市治理涉及群众...
叙述并证明拉格朗日微分中值定理,并简述拉格朗日中值定理与中学数学内容的联系。
数学发展史上曾经历过三次危机,触发第三次数学危机的事件是()。A.无理数的发现B.微积分的创立C.罗素悖论D.数学命题的机器证明
《普通高中数学课程标准(实验)》的课程目标提出培养数学基本能力,对于用几何方法证明 “直线与平面平行的性质定理”的学习有助于培养数学基本能力有(...
叙述并证明拉格朗日微分中值定理.并简述拉格朗日微分中值定理与中学数学内容的联系。
随机试题
施工事中质量控制的关键是()。
下列新产品开发方式中,既有利于企业产品更新换代、增强企业竞争能力,又有利于企业保
UGC、UGU可编码半肤氨酸属于密码的A摆动性 B通用性 C连续性 D
关于“强迫观念”与“强制思维”的临床意义,下列表述中正确的是()。 (A)强迫性穷思竭虑属于强制思维(B)强制性思维多见于精神分裂症 (C)强迫观...
肾前性肾功能衰竭的病因是A.大出血、休克B.双侧输尿管结石C.广泛烧伤D.感染性休克
患儿女,4岁,患麻疹已6天,热退身凉,皮疹渐消,胃纳欠佳,舌红少津,苔少,脉细。 治疗时首选方剂A.生脉散B.沙参麦冬汤C.竹叶石膏汤D.益胃汤E.泻
溶栓药的使用禁忌证不包括()A:活动性内脏出血B:月经期间C:既往有出血性脑事中史D:1年内有缺血性脑卒中或脑血管事件E:颅内肿瘤等
格式塔心理学的创始人是()。 (A)维特海默(B)杜威 (C)科勒(D)科夫卡
根据《期货公司管理办法》,期货公司终止分支机构的,应当先行妥善处理该分支机构(),结清分支机构业务并终止经营活动。 A客户资产 B场地、设备、资金证明...
企业收入通常包括销售商品收入、提供劳务收入和让渡资产使用权收入等。