首页
财务会计
医药卫生
金融经济
考公考编
外语考试
学历提升
职称考试
建筑工程
IT考试
其他
登录
医药卫生
A.6.05 B.5.65 C.5.35 D.5.05B
A.6.05 B.5.65 C.5.35 D.5.05B
恬恬
2019-12-17
6
问题
选项
A.6.05B.5.65C.5.35D.5.05
答案
B
解析
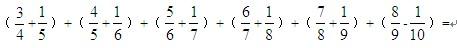
[img]/upload/tiku/378/4286473_1.jpg[/img]
转载请注明原文地址:https://ti.zuoweng.com/ti/CXqfKKKQ
相关试题推荐
随机试题
显示双侧眼眶正位的摄影体位是 A.瓦氏(Water)位 B.柯氏(Caldw
依据《建设工程安全生产管理条例》的规定,施工单位的( )应当对建设工程项目施工
按照疲劳损伤为线性关系的理论,若设备巳使用100天而积累损伤率为0.2,则剩余寿
(2014年)依据《危险化学品重大危险源监督管理暂行规定》(国家安全生产监督管理
下列哪些情况下,断路器跳闸后不得试送()。
根据《风景名胜区条例》,下列说法中错误的是()。
小儿结核性脑膜炎的早期临床表现是A.意识模糊B.惊厥C.脑膜刺激征D.性格改变E.前囟门饱满
其含量用视黄醇当量(RE)表示的是A.维生素B.维生素C.维生素D.维生素E.维生素
《期货从业人员管理办法》所称的期货从业人员是指()。A:期货公司的管理人员和专业人员B:期货交易所的非期货公司结算会员中从事期货结算业务的管理人员和专业人员
在某足球比赛中,体育场看台在球迷的疯狂中局部坍塌,死伤人数超过50人。赛事组委会对此依法承担赔偿责任。赛事组委会承担的这种法律责任被称作()。[200...