首页
财务会计
医药卫生
金融经济
考公考编
外语考试
学历提升
职称考试
建筑工程
IT考试
其他
登录
职称考试
如图所示,A、B两物块的质量分别为2m和m,静止叠放在水平地面上。A、B间的动摩擦因数为μ,B与地面间的动摩擦因数为1/2μ,最大静摩擦力等于滑动摩擦力,...
如图所示,A、B两物块的质量分别为2m和m,静止叠放在水平地面上。A、B间的动摩擦因数为μ,B与地面间的动摩擦因数为1/2μ,最大静摩擦力等于滑动摩擦力,...
admin
2020-12-24
6
问题
如图所示,A、B两物块的质量分别为2m和m,静止叠放在水平地面上。A、B间的动摩擦因数为μ,B与地面间的动摩擦因数为1/2μ,最大静摩擦力等于滑动摩擦力,重力加速度为g,现对A施加一水平拉力F,则下列说法不正确的是( )。
选项
A.当F<2μmg时,A、B都相对地面静止
B.当F=5/2μmg时,A的加速度为1/3μg
C.当F>3μmg时.A相对8滑动
D.无论F为何值,B的加速度不会超过1/2μg
答案
A
解析
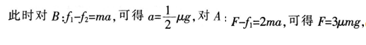
逐渐增大至f2时,B与地面先发生相对滑动,A项错误;F继续增大,AB间摩擦力也逐渐增大,当AB间摩擦力增大至f1时,AB恰好发生相对滑
动, C项正确;F继续增大,B受到两个不变的滑动摩擦力,加速度始终为
AB一起匀加速运动,对整体分析,可得加速度为1/3μg,B项正确。
转载请注明原文地址:https://ti.zuoweng.com/ti/Cft8KKKQ
相关试题推荐
贯彻新发展理念,建设现代化经济体系,必须坚持质量第一、效益优先,以供给侧结构性改革为主线。正确
我国学者罗荣渠教授认为:“从表面上看,帝国主义侵略论似乎是反西方中心论的.但如果只承认帝国主义是近代中国各种变化的主导因素,忽视了中国的历史特点和国情特点...
某中学召开“如何提高体育教学质量”教学研讨会。会上教研组的老师踊跃发言,展开热烈讨论。 王老师说:“转变学习的方式,将自主学习、探究学习和合作...
现场进行徒手心肺复苏时,应首先使患者()。A.侧卧在坚实的平面上B.仰卧在坚实的平面上C.侧卧在舒适的软床上D.仰卧在舒适的软床上
运动技能形成的自动化阶段,教师在教学过程中还应()。A.做好示范动作B.让学生多做模拟练习C.纠正错误动作D.不断检查动作质量
关于排球正面上手发球技术的正确描述是()。A.发球击球点高,击球臂弧形鞭甩B.发球击球点低,击球臂直臂前摆C.发球击球点高,击球臂直臂前摆
排球正面上手发球,击球时手腕迅速做推压动作,所击出的球如何飞行?()。A.上旋B.下旋C.侧旋D.漂移
( )探索体育教学本质与规律,寻求最优化的教学途经与方法运用于体育教学实施.提高体育教学质量。A.体育教学论的研究对象B.体育教学论的研究态度C.体育教学
微量元素的含量占人体总质量的( )以下。A.0.01%B.0.02%C.0.03%D.0.1%
篮圈上沿距地面的高度为( )A.3.05mB.2.75mC.2.90mD.2.95m
随机试题
在PCR反应中,DNA的碱基错配率相对较高的原因是 A.引物浓度过低 B.退
(63-64题共用题干) 女,28岁,上前牙因中龋曾于2个月前做过直接修复,昨
属于闭合式引流的是 A.片状引流 B.纱条引流 C.负压引流 D.管状引
在工程项目的组织设计中,首先强调组织整体设计目标的实现,然后进行分工,设立相应的
演艺明星的工资水平远超普通劳动者,这种工资差别是( )工资差别。
最早对六部推行监察制度的朝代是( )。 A.汉朝 B.唐朝 C.宋朝
如图5-50所示构件上a点处的切应力状态为()。 A.图(b)B.图(c)C.图(d)D.图(e)
设α=i+2j+3k,β=i-3j-2k,与α、β都垂直的单位向量为()。
地肤子除利尿通淋外,还具有的功效是 查看材料A.杀虫止痒B.祛风止痒C.破血通经D.利湿退黄E.清心除烦
以下说法中正确的是:A.某国家机关的勤杂人员误认为自己具有国家机关工作人员的身份而收受他人财物的,属于受贿罪的未遂犯B.甲高度近视,射击水平也很低,其举枪向乙