首页
财务会计
医药卫生
金融经济
考公考编
外语考试
学历提升
职称考试
建筑工程
IT考试
其他
登录
财务会计
下列结论中正确的是:
下列结论中正确的是:
书海库
2019-12-17
9
问题
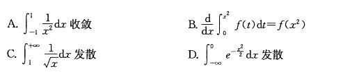
下列结论中正确的是:
选项
答案
C
解析
[img]/upload/tiku/233/5183790_1.jpg[/img]
转载请注明原文地址:https://ti.zuoweng.com/ti/CidlKKKQ
相关试题推荐
则下列结论中正确的是
则下列结论中正确的是( )。
给出线性方程组 下述结论错误的是( )。
给出线性方程组 下述结论错误的是( )。
单位工程质量竣工验收记录中,综合验收结论由()填写。
对于分部工程观感质量进行验收检查,通常给出综合质量评价,其结论分为()。
图示结构的两杆面积和材料相同,在铅直向下的力F作用下,下面正确的结论是( )。
图示结构的两杆面积和材料相同,在铅直向下的力F作用下,下面正确的结论是( )。
图示结构的两杆面积和材料相同,在铅直向下的力F作用下,下面正确的结论是( )。
下列结论中正确的是( )。
随机试题
“选择性粘贴”命令,不可以完成的操作是( )。 A、粘贴单元格的全部信息?
心脏毒性最强的是 A.阿米替林 B.米帕明 C.氯米帕明 D.多塞平
根据我国《宪法》规定,下列有关劳动与休息的选项正确的是()。
半夏用生姜炮制,其作用是
对机器零件内部裂纹可采用()进行探测。 A.渗透探测法B.磁粉检测法 C
2013年12月,安徽省人民政府颁布《安徽省主体功能区规划》(主要规划目标到2020年),从开发内容上,将全省划分为农产品主产区、城市化地区和重点生态功能...
在制定和执行药事管理法规中,应遵循我国宪法规定的原则是A:发展现代医药B:发展化学制药C:发展生物制药D:发展现代药和传统药E:发展传统药
恶寒战栗与高热交替发作,发有定时,属于A:少阳病B:疟疾C:热入血室D:阳明病E:表寒证
关于集装箱运输的特点,下列表述错误的是()。A.由多个承运人负责全程运输B.减少货损货差,保证货运质量C.快速实现不同运输工具之间换装,便于开展“门到
共用题干 G医药有限公司成立于2005年,拥有大批核心的高素质研发人员和销售人员,是西南地区的重点医药生产和流通企业之一。近年来公司骨干人员流失率呈逐年...