首页
财务会计
医药卫生
金融经济
考公考编
外语考试
学历提升
职称考试
建筑工程
IT考试
其他
登录
建筑工程
某项目 2018 年 9 月完成工程价款为 100 万元。其组成为:土方工程费 10 万元,占 10%;砌体工程费 40 万元,占 40%;钢筋混凝土工程...
某项目 2018 年 9 月完成工程价款为 100 万元。其组成为:土方工程费 10 万元,占 10%;砌体工程费 40 万元,占 40%;钢筋混凝土工程...
admin
2020-12-24
9
问题
某项目 2018 年 9 月完成工程价款为 100 万元。其组成为:土方工程费 10 万元,占 10%;砌体工程费 40 万元,占 40%;钢筋混凝土工程费 50 万元,占 50%。这三个组成部分的人工费和材料费占工程价款 85%,人工材料费中各项费用比例如下:
(1)土方工程:人工费 50%、机具折旧费 26%、柴油 24%。
(2)砌体工程:人工费 53010、钢材 5%、水泥 20%、集料 5%、片石 12%、柴油 5%。
(3)钢筋混凝土工程:人工费 53%、钢材 22%、水泥 10%、集料 7%、木材 4%、柴油 4%。
根据合同约定,该工程的其他费用不调整(即不调值的费用)占工程价款的 15%,求 2018 年价格调整金额。
选项
答案
解析
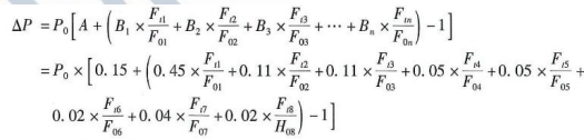
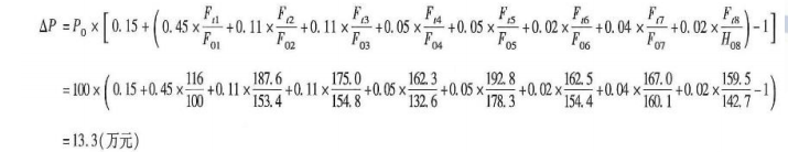
计算出各项参与调值的费用占工程价款的比例如下: 人工费:(50%×10%+53%×40%+53%×50%)×85%≈45% 钢材:(5%x40%+22%×50%)×85%≈11% 水泥:(20%×40%+10%×50%)×85%≈11% 集料:(5%×40%+7%×50%)×85%≈5% 柴油:(24%×10%+5%×40%+4%×50%)×85%≈5% 机具折旧:26%×10%×85%≈2% 片石:12%x40%×85%≈4% 木材:4%x50%×85%≈2% 具体的人工费及材料费的调值公式为:
假定该合同的原始报价基准日期为 2017 年 4 月 5 日,2018 年 9 月完成的工程量价款为 100 万元,有关月报的工资、材料物价指数如表 7-5 所示。
则 2018 年 9 月的工程款经过调值后其调值金额为:
转载请注明原文地址:https://ti.zuoweng.com/ti/DrtCKKKQ
相关试题推荐
孙某盗窃了价值数万元的贵重钻石项链,并送给他的女朋友蓝某当作定情礼物。后来,公安
(2005年真题)甲为了骗取保险金,花1万元买来一辆二手名牌轿车,通过在某国有保
(2009年真题)甲、乙二人共同盗窃一辆价值20万元的汽车销赃得款6万元,甲分得
(2007年真题)甲教唆15周岁的乙实施盗窃,乙按照甲的教唆盗窃了一辆价值1万元
甲欠乙债款5万元久拖不还,乙为了逼甲还债把甲锁在自家地窖中三个月,甲称无钱可还,
(2010年真题)甲将自己亲生的婴儿以2万元价格卖给他人。甲认为自己的行为不构成
甲生产、销售的假药足以危害人体健康,而且销售金额是7万元,甲的行为应当以( )
四川仪陇惠民村镇银行是全国第一家新型农村金融机构,成立当年吸收存款达1717万元
我国南水北调工程是世界上规模最大的调水工程,它将建成“南北调配、东西互济”的巨大
下列不计入当年GDP的是()。 A.购买80万元的新住房 B.农民当年生产
随机试题
在我国,大额可转让定期存单有固定利率存单,也有浮动利率存单。()
在社会认知理论中,实现自我控制的最重要因素是 A.自我观察 B.自我奖赏
牙体缺损印模的要求是 A.解剖式印模 B.功能性印模 C.压力印模 D.
利用功能指数法进行价值分析时,如果VI>1,出现这种情况的原因可能是()
E钢铁公司棒材厂的加热炉使用煤气作为燃料。2016年4月9日8时,棒材厂1号加热
马绍尔群岛是在古老玄武岩基岩上形成的珊瑚礁,以环礁居多,科学家研究发现位于图中M
患儿,2岁,诊断为动脉导管未闭。对该患儿做健康指导时,不妥的是
教师在讲授完《庄暴见孟子》中“王之好乐甚,则齐其庶几乎”中“乎”字的用法后,为了帮助学生加深理解,又为其举了以下例子,其中符合要求的一项是( )。A、日食饮得
某500kV变电站的主变压器型式为:三相油浸自耦变压器,无载调压,冷却方式为强油风冷。主要技术参数为: 电流互感器额定二次电流:三侧均为1A。 按...
选择性地作用于骨性关节、有直接抗炎作用的处方药是A:可待因B:阿司匹林C:塞来昔布D:硫酸氨基葡萄糖E:双氯芬酸钠缓释片