首页
财务会计
医药卫生
金融经济
考公考编
外语考试
学历提升
职称考试
建筑工程
IT考试
其他
登录
建筑工程
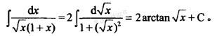
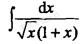
等于( )。
等于( )。
admin
2020-12-24
17
问题
等于( )。
选项
答案
B
解析
提示:
转载请注明原文地址:https://ti.zuoweng.com/ti/ENK8KKKQ
相关试题推荐
尿道球部外伤的受伤类型是A.会阴刺伤B.会阴撕裂伤C.碾挫伤D.骑跨伤E.击打伤
不符合甲亢患者手术适应证的是A.中度以上的原发性甲亢B.高功能腺瘤C.青少年病人D.继发性甲亢E.抗甲状腺药物治疗后复发者
青霉素过敏致血清病型反应,一般出现在用药后A.2?3天B.3?5天C.5?6天D.7?12天E.12?15天
窦性心动过速不发生于哪种情况A.发热B.甲状腺功能亢进症C.运动D.贫血E.甲状腺功能减退症
诊断急性白血病最可靠的依据是A.骨髓象见原始细胞≥30%B.有肝、脾、淋巴结肿大C.血白细胞数剧增或剧减D.骨髓象见较多中幼及晚幼白细胞E.有出血、贫血
2个月以下小婴儿患化脓性脑膜炎的病因中,最常见的病原体是A.水痘病毒B.肺炎双球菌C.金黄色葡萄球菌D.溶血性链球菌E.轮状病毒
月经周期为32天的妇女,其排卵日应在来月经后的A.第10天B.第12天C.第14天D.第16天E.第18天
下列哪项不符合压疮溃疡期的临床表现A.局部溃疡形成B.浅层组织感染,有脓液流出C.出现黑色坏死组织D.局部有水疱形成E.严重时可引起败血症
关于无菌治疗包的使用方法,正确的是A.打开无菌治疗包时,手可以触及包布四角的内侧面B.无菌治疗包打开一次后即不可再次使用C.无菌包超过有效期或被污染,需重新
足底忌用冷疗是为了防止A.—过性冠状动脉收缩B.末梢循环障碍C.局部组织坏死D.体温骤降E.心律异常
随机试题
原发性腹膜炎与继发性腹膜炎的主要区别是()。
女孩,2岁,因发热半天,呕吐2次,半小时前突然面色发灰,四肢发冷,来院急诊。体检
商业银行可以流动资产的形式持有脆弱资金()左右。
社会工作督导的对象主要包括()。
B
继发于支气管肺组织炎性病变的支气管扩张多见于 A右肺下叶 B左肺下叶
教育研究主体通过对有意义的教育教学事件、教育教学实践的描述与分析,发掘或揭示其背后的教育意义。这种教育研究方法是( )。A.经验研究法B.调查研究法C.行
属于违反公序良俗原则的行为有( )。A.欺诈交易B.赌博C.以债务人的人身作为抵押的合同D.以继续通奸作为房屋赠与的附条件合同
刘某参加考试并取得《医师资格证书》。后市卫生局查明刘某在报名时提供的系虚假材料,于是向刘某送达《行政许可证件撤销告知书》。刘某提出听证申请,被拒绝。市卫生...
甲企业为增值税一般纳税人,主要从事摩托车的制造和销售业务。2019年12月有关业务如下: (1)销售1辆定制摩托车(气缸容量250ml以上)取得含增值税...