首页
财务会计
医药卫生
金融经济
考公考编
外语考试
学历提升
职称考试
建筑工程
IT考试
其他
登录
建筑工程
有粘质粉性土和砂土两种土料,其重度都等于18kN/m3,砂土 c1=0kPa,φ1=35o,粘质粉性土c2=20kPa,φ2=20o。对于墙背垂直光滑和填...
有粘质粉性土和砂土两种土料,其重度都等于18kN/m3,砂土 c1=0kPa,φ1=35o,粘质粉性土c2=20kPa,φ2=20o。对于墙背垂直光滑和填...
admin
2020-12-24
7
问题
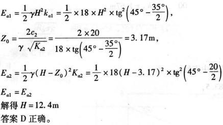
有粘质粉性土和砂土两种土料,其重度都等于18kN/m3,砂土 c1=0kPa,φ1=35o,粘质粉性土c2=20kPa,φ2=20o。对于墙背垂直光滑和填土表面水平的挡土墙,对应于下列哪个选项的墙高,用两种土料作墙后填土计算的作用于墙背的总主动土压力值正好是相同的?
A. 6.6m B.7.0m C. 9.8m D. 12.4m
选项
答案
D
解析
据《教材》中第七篇,第一章,第二节计算
转载请注明原文地址:https://ti.zuoweng.com/ti/GUeCKKKQ
相关试题推荐
某湿陷性砂土上的厂房采用独立基础,基础尺寸为2m×1.5m,埋深2.0m,在地上采用面积为0.25m2的方形承压板进行浸水载荷试验,试验结果如下表。按照《...
如图所示,挡墙背直立、光滑、填土表面水平,墙高H=6m,填土为中砂,天然重度γ=18kN/m3,饱和重度γsat=20kN/m3,水上水下内摩擦角均为φ=...
如图所示填土采用重力式挡墙防护,挡墙基础处于风化岩层中,墙高6.0m,墙体自重260kN/m,墙背倾角15°,填料以建筑弃土为主,重度17kN/m3,对墙...
图示既有挡土墙的原设计为墙背直立、光滑,墙后的填料为中砂和粗砂,厚度分别为h1=3m和h2=5m,中砂的重度和内摩擦角分别为γ1=18kN/m3和φ1=3...
某悬臂式挡土墙高6.0m,墙后填砂土,并填成水平面。其γ=20kN/m3,c=0,φ=30°,墙踵下缘与墙顶内缘的连线与垂直线的夹角α=40°,墙与土的摩...
在均匀砂土地层进行自钻式旁压试验,某试验点深度为7.0m,地下水位埋深为1.0m,测得原位水平应力σh=93.6kPa;地下水位以上砂土的相对密度ds=2...
海港码头高5.0m的挡土墙如图所示。墙后填土为冲填的饱和砂土,其饱和重度为18kN/m3,c=0,φ=30°,墙土间摩擦角δ=15°,地震时冲填砂土发生了...
某浆砌块石挡墙高6.0m,墙背直立,顶宽1.0m,底宽2.6m,墙体重度γ=24kN/m3墙后主要采用砾砂回填,填土体平均重度γ=20kN/m3,假定填砂...
图示某铁路边坡高8.0m,岩体节理发育,重度22kN/m3,主动土压力系数为0.36。采用土钉墙支护,墙面坡率1:0.4,墙背摩擦角25°。土钉成孔直径9...
某土坝的坝体为黏性土,坝壳为砂土,其有效空隙率n=40%,原水位(▽1)时流网如下图所示,根据《碾压式土石坝设计规范》(D1/T5395—2007),当...
随机试题
根据《规划环境影响评价条例》,规划环境影响报告书审查意见不包括() A.评
不属于人体必需氨基酸的是 A.赖氨酸 B.色氨酸 C.精氨酸 D.苏氨酸
二甲苯是常用的常规透明剂,其折光指数为( )。 A.1.70 B.
下列哪个药物属于三环类抗抑郁药()
(2016年真题)若房地产投资项目的财务内部收益率大于基准收益率,以财务净现值
避雷器动作次数、泄漏电流抄录的周期为()。
治疗顿咳恢复期,应首选
B解析观察第一组图形的3个小图形的关系发现,第1个小图形中的两个小三角形往中间平移的到第2个小图形;第2个小图形中的两个小三角形往中间平移得到第3个小图形。同
自相关系数rk对时间数列性质和特征的判断准则包括()
根据《中共中央、国务院关于加快水利改革发展的决定》,建立水利投入稳定增长机制,应从土地出让收益中提取()用于农田水利建设,充分发挥新增建设用地土地有偿使用...