首页
财务会计
医药卫生
金融经济
考公考编
外语考试
学历提升
职称考试
建筑工程
IT考试
其他
登录
财务会计
D
D
恬恬
2019-12-17
5
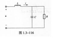
问题
选项
答案
D
解析
转载请注明原文地址:https://ti.zuoweng.com/ti/H1WlKKKQ
相关试题推荐
切实保障律师执业权利有助于以下哪些作用的实现:
某甲等30名律师各出资100万元合伙设立了特殊的普通合伙律师事务所——顶呱呱律师
海洋超市发现其经营的“天泽牌”速冻水饺不符合食品安全标准,拟采取的下列哪一措施是
根据《消费者权益保护法》的有关规定,消费者在合法权益受到侵害时,可以依法要求有关
王某于1993年10月1日购买了一台微波炉,由于王某年底即出国,微波炉一直闲置未
关于我国宪法的效力,以下说法正确的是:
关于地方各级人民政府,下列哪些说法是错误的:
冯法官在处理一起连环交通肇事案件,交通管理部门认定驾驶员甲承担事故主要责任,驾驶
关于加强党的领导,下列说法错误的是:
佳禾公司与和达公司发生合同争议,起诉到某县人民法院。甲、乙、丙三法官组成合议庭承
随机试题
当可行性研究报告中只提出了一个可行性方案时,银行评估人员应()。 A.向企业了
患者,男性,34岁,因十二指肠溃疡行毕氏Ⅱ式手术。术后8天进食,进食后出现上腹部
这是最好的城际竞技场。每一次申办承办,都是一次巧妙的城市公 关。对于新生显贵而
1.2007年12月,国家电网公司发布(),界定了公司承担的12个方
下列作品、作家、时代(国别)对应都正确的一项是()。 A.《蜀道难》——杜甫
考察温度对某一化工产品得率的影响,特选5种不同温度进行试验,并在同一温度下各进行
DNA是____英文名称的缩写,是生物体内的一种生物大分子化合物,它包含有遗传信息,担负着生命的遗传功能。(出题单位:山东科技报社推荐单位:山东学习平台)A、
概括是理解科学知识的起点。()
()受紫外线照射时强度有变化、橡胶垫片易老化、漏水,故在消防水箱中不推荐使用。A:碳素钢板水箱B:玻璃钢水箱C:不锈钢水箱D:钢筋混凝土水箱
《医疗事故处理条例》规定,造成患者轻度残疾,器官组织损伤导致一般功能障碍的,属于几级医疗 事故A.一级甲等B.—级乙等C.二级D.三级E.四级