首页
财务会计
医药卫生
金融经济
考公考编
外语考试
学历提升
职称考试
建筑工程
IT考试
其他
登录
建筑工程
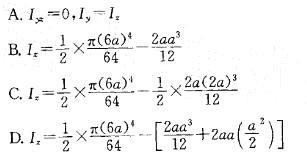
如图所示的平面图形来说,下列结论中错误的是:
如图所示的平面图形来说,下列结论中错误的是:
admin
2020-12-24
1
问题
如图所示的平面图形来说,下列结论中错误的是:
选项
答案
B
解析
提示:图中矩形面积对z轴的惯性矩不是
,故结论B不正确。
转载请注明原文地址:https://ti.zuoweng.com/ti/H5KCKKKQ
相关试题推荐
岩石试样单向压缩试验应力-应变曲线的3个阶段(如图)OA、AB、BC分别是:( ) A.弹性阶段、压密阶段、塑性阶段B.弹性阶段、弹塑性阶段、塑性阶段C
如图所示结构,B点处的支座反力RB为( )。 A.RB=qlB.RB=1.25qlC.RB=0.75qlD.RB=1.5ql
如图所示砖砌体中的过梁(尺寸单位为mm),作用在过梁上的荷载为( )(梁自重不计)。 A.20kN/mB.5kN/mC.3kN/mD.18kN/m
用极限平衡理论计算岩基承载力时,条形荷载作用下均质岩基的破坏面形式一般假定为: A.单一平面B.双直交平面C.圆弧曲面D.螺旋曲面
平面滑动时,滑动面的倾角β与滑动面的摩擦角φ的关系为: A.β>φB.β
平面滑动时,滑动面的倾角β与坡面倾角α的关系是: A.β=αB.β>αC.β
下列关于均匀岩质边坡应力分布的描述中,哪一个是错误的? A.斜坡在形成的过程中发生了应力重分布现象 B.斜坡在形成的过程中发生了应力集中现象 C.斜...
已知岩质边坡的各项指标如下:γ=25kN/m3,坡角60°,若滑面为单一平面,且与水平面呈45°角,滑面上c=20kPa,φ=30°。当滑动体处于极限平衡...
单一平面滑动破坏的岩坡,滑动体后部可能出现的张裂缝的深度为(岩石重度γ,滑面粘聚力c,内摩擦角的φ):
根据断层面位移方向与水平面的关系,可将活断层划分为倾滑断层与走滑断层。其中倾滑断层又称为: A.平移断层B.正断层、逆断层C.纵断层D.逆掩断层
随机试题
下列药品服用时间描述正确的是 A、调节血脂药物宜在睡前服用 B、利尿剂宜在清
舍格伦综合征的口腔表现不包括 A.味觉异常 B.义齿固位力差 C.慢性颌骨
甲股份有限公司2014年6月召开股东大会,选举公司董事。根据《公司法》的规定,下
产褥期女性生殖系统变化不正确的是
共用题干 某投资者购买了一商铺用于出租经营,其置业投资和前5年的净租金收益见下
在扁平苔藓上皮的棘层、基底层的黏膜固有层可见到的圆形均质性嗜酸性物质叫作A.Birbeck颗粒B.分泌颗粒C.致密小体D.朗格汉斯颗粒E.Civatte
以下属于肺阳虚证的临床表现的有A.胸闷气喘B.久咳无力C.痰多色白D.舌淡紫胖大
肉瘤是指A.来自上皮组织的恶性肿瘤B.来自间叶组织的恶性肿瘤C.来自肌肉组织的肿瘤D.来自平滑肌的肿瘤
—种虚幻的知觉体验是A.直觉改变B.非真实感C.幻觉D.感知综合障碍E.错觉
市工商局认定豪美公司的行为符合《广告法》第28条第2款第2项规定的“商品或者服务有关的允诺等信息与实际情况不符,对购买行为有实质性影响”情形,属发布虚假广...