首页
财务会计
医药卫生
金融经济
考公考编
外语考试
学历提升
职称考试
建筑工程
IT考试
其他
登录
建筑工程
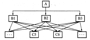
下图所示的项目组织结构模式的特点有( )。 A.每一个部门可根据其职能对其直接和非直接的下属部门下达指令 B.每一个部门可能得到其直接和非直接的上级部门下
下图所示的项目组织结构模式的特点有( )。 A.每一个部门可根据其职能对其直接和非直接的下属部门下达指令 B.每一个部门可能得到其直接和非直接的上级部门下
admin
2020-12-24
47
问题
下图所示的项目组织结构模式的特点有( )。
选项
A.每一个部门可根据其职能对其直接和非直接的下属部门下达指令
B.每一个部门可能得到其直接和非直接的上级部门下达的工作指令
C.每一个部门可能会有多个矛盾的指令源
D.上下级指令传递路径较长
E.矛盾的指令会影响项目管理机制的运行
答案
ABCE
解析
P14
转载请注明原文地址:https://ti.zuoweng.com/ti/HKPQKKKQ
相关试题推荐
建设工程档案一般不少于两套,分别由()保管。A.设计单位B.建设单位C.施工单位D.当地城建档案部门E.建设主管部门
在工程质量验收合格标准中,对于主要功能项目的抽查结果应符合相关专业质量验收规范的规定属于()验收的内容。A.分部工程B.检验批C.单位工程D.分项工程
检验批质量验收应由()组织项目专业质量检查员等进行验收并签认。A.检验人员B.建设单位负责人C.项目经理D.监理工程师
分项工程质量应由()组织项目专业技术负责人等进行验收。A.项目经理B.总监理工程师C.专业监理工程师D.监理员
施工文件档案管理中规定,在开工前由施工单位现场负责人填写“施工现场质量管理检查记录”,报()检查,并做出检查结论。A.建设主管部门B.建设审批部门C.设计单
承包人应根据()提交合格的竣工图。A.工程性质的要求B.施工合同约定C.监理单位的要求D.设计单位的要求
施工单位可以按照施工合同的约定,接受()的委托进行工程档案的组织和编制工作。A.建设单位B.咨询单位C.设计单位D.监理单位
项目经理部收到工程图纸后,应组织有关人员进行审查,将设计疑问及图纸存在的问题,按专业整理、汇总后报()。A.施工单位B.设计单位C.监理单位D.建设单位
竣工报告是指工程项目具备竣工条件后,施工单位提请()组织竣工验收的文件。A.工程总承包单位B.建设单位C.监理单位D.建设主管部门
建设工程施工技术资料信息包括()。A.主要原材料、成品、半成品、构配件、设备出厂质量证明B.施工试验记录C.施工组织设计D.工程质量检验评定资料E.资源
随机试题
下列关于波士顿矩阵的表述中,错误的是()。 A、纵轴表示企业销售额增长率 B
下列关于村民委员会的说法错误的是: A.村民委员会由主任、副主任和委员3~7人
关于证券交易的印花税,以下表述错误的是()。
承包方选择专业分包的合格分包商,应采用()程序。
某制药厂在2009年投保了产品责任保险,保险期限为一年。在保险期限内某患者服用
制定科学合理的工资制度的前提和依据是()。A.工作岗位研究B.工作岗位分析C.工作岗位评价D.工作岗位说明书E.工作岗位调查
身处教育实践第一线的研究者与受过专门训练的科学研究者密切合作,以教育实践中存在的某一问题作为研究对象,通过合作研究,再把研究结果应用到自身从事的教育实践中...
班杜拉把强化分为三种:直接强化、{pz_填空}强化和自我强化。
下列工作用表中,属于监理单位用表的是()。A:施工组织设计审批表B:费用索赔核定表C:工程款支付证书D:工程竣工报验单
保障基金的资金运用限于()。A.银行存款B.国债C.股票D.企业债券