首页
财务会计
医药卫生
金融经济
考公考编
外语考试
学历提升
职称考试
建筑工程
IT考试
其他
登录
财务会计
设函数,若f(x)在x=0处可导,则a的值是:
设函数,若f(x)在x=0处可导,则a的值是:
题库总管
2019-12-17
6
问题
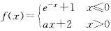
设函数
,若f(x)在x=0处可导,则a的值是:
选项
A. 1B. 2C. 0D. -1
答案
D
解析
[img]/upload/tiku/233/2658573_1.jpg[/img]
转载请注明原文地址:https://ti.zuoweng.com/ti/HwHNKKKQ
相关试题推荐
函数子程序FJ求一组数的和。 FUNCTIONFJ(X,N) DIMENS
某种理想气体的总分子数为N,分子速率分布函数为f(v),则速率在v1——v2区间
下列各波函数不合理的是:
设y=f(x)是(a,b)内的可导函数,x,x+△x是(a,b)内的任意两点,则
某农产品的供给函数为Q=10+2P,式中:Q为供给量,单位为千克;P为价格
某农产品的供给函数为Q=10+2P,式中:Q为供给量,单位为千克;P为价格
某农产品的供给函数为Q=10+2P,式中:Q为供给量,单位为千克;P为价格
农产品需求函数描述的是农产品需求量与()之间的数量关系。
图示非周期信号u(t)的时域描述形式是:(注:1(t)是单位阶跃函数)
某滤波器的幅频特性波特图如图所示,该电路的传递函数为:
随机试题
随着高等教育产业化的发展,近年来高等教育收费水平越来越高。韩女士见周围的同事都很
发生下列哪种情况,创立大会可以作出不设立公司的决议?() A.全体发起人同意
急性胰腺炎时,尿淀粉酶升高的时间一般为发病后( )。 A、2~6h B、2
下列项目相关方中,不能对工程项目工作范围提出变更请求的是( )。
一般地,如果人们收入水平提高,娱乐支出在总支出中的比重将( )。
在质量控制方法中,寻找影响产品质量主要因素的有效方法是()。 A.排列图法
下列关于进出口货物报关单填制要求的表述,正确的是( ).(2007年) A.
患者,女性,25岁。,妊娠36周,枕右前位,出现阴道流血,无宫缩,胎心136次/分。最恰当的处理方法是A.期待疗法B.缩宫素静脉滴注引产C.立即行人工破膜
不属于外用药的是A.滴耳剂B.滴眼剂C.眼膏剂D.注射剂E.滴鼻剂
美国的()在1930年首次使用了“心理社会”这个概念。A:汉密尔顿B:艾利斯C:史密斯D:汉金斯