首页
财务会计
医药卫生
金融经济
考公考编
外语考试
学历提升
职称考试
建筑工程
IT考试
其他
登录
建筑工程
图示电路中,u=141sin(314t-30°)V,i=14.1sin(314t-60°)A,这个电路的有功功率P等于:W。 A. 500W B. 86...
图示电路中,u=141sin(314t-30°)V,i=14.1sin(314t-60°)A,这个电路的有功功率P等于:W。 A. 500W B. 86...
admin
2020-12-24
12
问题
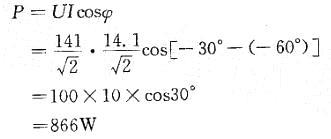
图示电路中,u=141sin(314t-30°)V,i=14.1sin(314t-60°)A,这个电路的有功功率P等于:W。
A. 500W B. 866W C. 1000W D. 1988W
选项
答案
B
解析
提示:根据交流电路中有功功率的计算公式
转载请注明原文地址:https://ti.zuoweng.com/ti/KUKCKKKQ
相关试题推荐
若按采用的传输介质的不同,可将网络分为( )。A、双绞线网、同轴电缆网、光纤网、无线网B、基带网和宽带网C、电路交换类、报文交换类、分组交换类
运算放大器应用电路如图所示,设运算放大器输出电压的极限值为±11V,如果将2V电压接入电路的“A”端,电路的“B”端接地后,测得输出电压为-8V,那么,如...
图(a)所示电路中,时钟脉冲、复位信号及数模信号如图(b)所示,经分析可知,在第一个和第二个时钟脉冲的下降沿过后,输出Q先后等于( )。 ...
用于求解图示电路的4个方程中,有一个错误方程,这个错误方程是( )。 A、I1R1+I3R3-US1=0B、I2R2+I3R3=0C、I1+I
在图示电路中,开关S闭合后( )。 A、电路的功率因数一定变大B、总电流减小时,电路的功率因数变大C、总电流减小时,感性负载的功率因数变大D
图示时序逻辑电路是一个( )。 附:触发器的逻辑状态表为: A、左移寄存器B、右移寄存器C、异步三位二进制加法计数器D、同步六进制计
为实现对电动机的过载保护,除了将热继电器的热元件串接在电动机的供电电路中外,还应将其( )。A、常开触点串接在控制电路中B、常闭触点串接在控制电路中C、常
已知电路如图所示,设开关在t=0时刻断开,那么( )。 A、电流iC从0逐渐增长,再逐渐衰减到0B、电压从3V逐渐衰减到2VC、电压从2V逐渐增长到
测得某交流电路的端电压u及电流i分别为110V,1A,两者的相位差为30°,则该电路的有功功率、无功功率和视在功率分别为( )。 A、95.3W,55V
已知电路如图所示,其中,响应电流I在电流源单独作用时的分量( )。 A、因电阻R未知,而无法求出B、3AC、2AD、-2A
随机试题
同一原子中,原子核对壳层电子的吸引力最小的是 A.K壳层电子 B.L壳层电子
关于脑栓塞叙述不正确的是 A.CT或MRI可显示缺血性梗死或出血性梗死改变
某社区在改造过程中,社会工作者促成当地政府与受此影响的居民一起商讨改造计划。居民
下列建设项目中,其竣工环保验收适用《建设项目竣工环境保护验收技术规范一生态影响类
某公司5年前通过出让方式取得土地面积2000㎡、使用期限50年的某地块,土地出让
化学反应低温自发,高温非自发,该反应的: A.ΔH0,ΔSC.ΔH0D.
在Windows的"资源管理器"中,按______键可删除选定的文件。A.ALT+F4B.F8C.BackspaceD.Delete
“明人伦”是我国()社会的学校教育目的。 A.原始B.现代C.古代D.民国时期
房地产经纪活动既是一种民事行为,也是一种中介活动。因此,房地产经纪活动应当遵循的原则有( )。A.诚实守信原则B.公开原则C.平等原则D.自愿原则E.
当吊顶饰面材料为玻璃板时,应使用()玻璃或采取可靠的安全措施。A.中空B.复合C.安全D.防火