首页
财务会计
医药卫生
金融经济
考公考编
外语考试
学历提升
职称考试
建筑工程
IT考试
其他
登录
财务会计
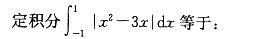
A.1 B.2 C.3 D.4C
A.1 B.2 C.3 D.4C
Loveyou
2019-12-17
8
问题
选项
A.1B.2C.3D.4
答案
C
解析
[img]/upload/tiku/212/2835560_1.jpg[/img]
转载请注明原文地址:https://ti.zuoweng.com/ti/P14NKKKQ
相关试题推荐
某种唇炎,镜下表现为:上皮下结缔组织内弥漫性或灶性炎症细胞浸润,血管周围为上皮样
某疾病的镜下表现为:牙周袋壁上皮周围的炎症明显减少,在牙周袋与牙槽骨之间可见大量
患者3年前鼻咽癌手术后放疗半年。近来感觉上颌骨深部持续性剧痛,开口受限,牙龈和周
患者,男,30岁,口底肿胀,肉眼观囊腔内充满豆腐渣样物质,镜下见角化复层扁平上皮
患者,女,12岁,右上颌尖牙区肿胀半年,X线见边界清楚的透射区并有不透光的钙化区
下唇囊肿直径约0.5cm,镜下见囊肿无衬里上皮,由炎性肉芽组织和结缔组织包绕,
患者,男,42岁,发现腭部包块半年,伴有明显疼痛。肉眼观察肿物与周围组织尤明显界
患者,女,48岁,口底黏膜白色斑块6个月。活检标本见黏膜上皮角化层增厚,棘层增生
某一患者因外伤导致双侧髁突颈部骨折,其临床特点中错误的是
一额颗部外伤出血的患者,为了暂时止血,行压迫止血的合理部位是
随机试题
基差交易的利润来源包括( )。 Ⅰ.期货价格的变化 Ⅱ.利息收入 Ⅲ.基
虎杖的性状鉴别特征有
当()时,用例是捕获系统需求最好的选择。
热力管道保温施工时,同层的预制管壳应(),内、外层应(),外层的水平接缝应在
等渗葡萄糖为何种浓度
某居住小区由4座建筑高度为69.0m的23层单元式住宅楼和4座建筑高度为54.0
国有企业员工李某经常在家酗酒后打骂孩子,对于李某的行为,下列表述中正确的是(
军团菌,又称嗜肺军团菌,通常分布在河川、水泽中,也经常隐藏在空调制冷装置的冷却水塔中,通过水塔喷出的水雾散布在空气中,经人类呼吸道而感染。通常,军团菌轻微...
被告人李某系农村妇女,两年前随丈夫进城打工,2012年10月计划外怀孕,李某身患高血压等不宜流产的疾病,只能将孩子生下。因其家境贫寒,且负有许多外债,遂与...
处置采用公允价值模式计量的投资性房地产时,下列说法不正确的有( )。A.应按累计公允价值变动金额,将公允价值变动损益转入其他业务成本B.实际收到的金额与该投