首页
财务会计
医药卫生
金融经济
考公考编
外语考试
学历提升
职称考试
建筑工程
IT考试
其他
登录
考公考编
某机械设备配用一台绕线型异步电动机,其额定功率90kW,额定转速589r/min
某机械设备配用一台绕线型异步电动机,其额定功率90kW,额定转速589r/min
书海库
2020-05-20
5
问题
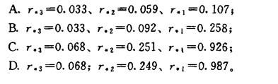
某机械设备配用一台绕线型异步电动机,其额定功率90kW,额定转速589r/min, 转子额定电压330V,转子额定电流166. 6
选项
A。电动机的最大转矩标幺值为3.1,计算最大启 ,动转矩的系数取0.8。现决定采用对称切除三级电阻启动。试用分析法求各级启动电阻值。 (转子导线电阻忽略不计。)各级启动电阻的标幺值分别为( )。
答案
B
解析
[img]/upload/tiku/140/339263_1.jpg[/img]
转载请注明原文地址:https://ti.zuoweng.com/ti/QmaMKKKQ
相关试题推荐
个人经营类贷款主要用于满足借款人购买机械设备或临时性流动资金需求,因此,贷款期
将一台额定功率10kW的直流电动机改为发电机运行,其额定功率将()。 (A)>
有一环网及其参数如题4-33图所示,节点①为电源,则该环网的功率分点及其功率的分
在图1.1-8电路中,Is=2A,求该独立电流源供出的功率。
C答:本题目考察的是三相电路功率的测量方法。三相电路的功率测量可以分若干种情况,最基本的原理是正弦稳态电路的功率计算。包括有功功率、无功功率、视在功率、功率三
如图所示电路中u=-10V,则6V电压源发出的功率为下列何值? (A)
图示对称三相电路中,线电压为380V,线电流为3A,功率因素为0.8,则功率表读
某工厂的负荷为2000kW,cosψ=0.6(滞后)。为改善功率因数,在负载端并
有一环网及其参数如题4-33图所示,节点①为电源,则该环网的功率分点及其功率的分
高电压网线路中流过的无功功率主要影响线路两端的()。
随机试题
试带法隐血反应可能呈阴性的是 A.肉眼血尿 B.镜下血尿 C.组织蛋白尿
根据《房屋建筑与装饰工程工程量计算规范》GB50854-2013规定,关于屋面
在工程网络计划中,关键线路是指()的线路。
机体免疫系统杀伤和清除异常突变细胞的能力称为
某钢结构工程全部采用卢森堡钢材,所有钢材均应具有()。
根据《期货投资者保障基金管理暂行办法》的规定,中国证券监督管理委员会决定使用期货
某农场拟于2006年初在某河流上游植树造林500公顷,需要各类投资共5000万
关于政府投资的说法,正确的是()。A.发达国家政府投资所占比重较高B.实行计划经济体制的国家,政府投资所占比重较大C.市场经济国家中非政府投资发挥辅助作用
能助心行血的是A.心B.肺C.肝D.脾E.肾
一般资料:求助者,男性,16岁,高中一年级学生。 案例介绍:求助者原来学习成绩一般,这学期成绩明显下降。父母亲反映求助者以前乐于助人,但现在 与老师、...