首页
财务会计
医药卫生
金融经济
考公考编
外语考试
学历提升
职称考试
建筑工程
IT考试
其他
登录
建筑工程
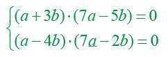
设a、b为非零向量,且满足(a+3b)丄(7a-5b), (a-4b)丄(7a-2b),则a与b的夹角θ=( )。
设a、b为非零向量,且满足(a+3b)丄(7a-5b), (a-4b)丄(7a-2b),则a与b的夹角θ=( )。
admin
2020-12-24
8
问题
设a、b为非零向量,且满足(a+3b)丄(7a-5b), (a-4b)丄(7a-2b),则a与b的夹角θ=( )。
选项
答案
C
解析
由两向量垂直的充要条件得:
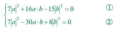
即
①-②得:
①×8+②×15得:
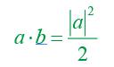
由上两式得:
。从而
转载请注明原文地址:https://ti.zuoweng.com/ti/SE60KKKQ
相关试题推荐
已知两点M(5,3,2)、N(1,-4,6),则单位向量MN0可表示为()。
设n阶矩阵A可逆,α是A的属于特征值λ的特征向量,则下列结论中不正确的是()。A.α是矩阵-2B的属于特征值-2λ的特征向量C.α是矩阵DT的属于特
两直角刚杆AC、CB支承如图4-5所示,在铰C处受力F作用,则A、B两处约束力的作用线与x轴正向所成的夹角分别为()。A.0°,90°B.90°,0
如果两个偏振片堆叠在一起,且偏振化方向之间夹角为60°,假设二者对光无吸收,光强为I0的自然光垂直入射在偏振片上,则出射光强为()。A.I0/8B.I0
已知λ=2是三阶矩A的一个特征值,α1、α2是A的属于λ=2的特征向量。若α1=(1,2,0)T,α2=(1,0,1)T,向量β=(-1,2,-2...
如图4-45所示,圆盘某瞬时以角速度ω,角加速度α绕轴O转动,其上A、B两点的加速度分别为aA和aB,与半径的夹角分别为θ和φ。若OA=R,OB=R...
设平面π的方程为2x-2y+3=0,以下选项中错误的是()。A.平面π的法向量为i-jB.平面π垂直于z轴C.平面π平行于z轴D.平面π与xOy面的
三个偏振片P1、P2与P3堆叠在一起,P1与P3的偏振化方向相互垂直,P2与P1的偏振化方向间的夹角为30°。强度为I0的自然光垂直入射于偏振片P1,并依...
A.β是A的属于特征值0的特征向量 B.α是A的属于特征值0的特征向量 C.β是A的属于特征值3的特征向量 D.α是A的属于特征值3的特征向量A.β
已知某电厂发电机经220kV输电线路接于受端无限大系统母线,已归算到基准值的标么值参数如下(见图16-1): δ——相量E与U之间的夹角(≤9...
随机试题
老年期妇女生理上最突出表现是( )。 A、衰老、老化 B、孤独、寂寞 C
制作全口义齿排牙的原则下列哪项是不正确的?() A.排前牙应注意切导斜度宜大不
SLE患者首选的治疗方法是 A.休息、加强支持 B.环磷酰胺 C.雷公藤
先兆临产的症状下列哪项除外 A、见红 B、假临产 C、轻松感 D、
Whatcanyoudotoensurethatyouwill
1,0,2,2,6,10,() A10 B16 C22 D28
龈下菌斑通常分为A.附着菌斑和非附着菌斑B.根面菌斑和根尖周菌斑C.光滑面菌斑和邻面菌斑D.舌侧菌斑和颊侧菌斑E.点隙沟裂菌斑和面菌斑
风湿热心脏炎严重时需绝对卧床A:1周B:2周C:4周D:8周E:12周
(2014年)下列关于行政许可实施程序的说法中,正确的有()。A.申请人要求行政机关对公示内容予以说明、解释的,行政机关可以根据具体情况决定是否作出说明、解
增值税纳税人年应税销售额超过财政部、国家税务总局规定的小规模纳税人标准的,除另有规定者外,应当向其机构所在地主管税务机关办理一般纳税人登记。下列关于年应税...