首页
财务会计
医药卫生
金融经济
考公考编
外语考试
学历提升
职称考试
建筑工程
IT考试
其他
登录
职称考试
如图4所示,粗细均匀的玻璃细管上端封闭,下端开口,竖直插在大而深的水银槽中.管内封闭有一定质量的空气(可视为理想气体),玻璃细管足够长,管内气柱长4.0 ...
如图4所示,粗细均匀的玻璃细管上端封闭,下端开口,竖直插在大而深的水银槽中.管内封闭有一定质量的空气(可视为理想气体),玻璃细管足够长,管内气柱长4.0 ...
admin
2020-12-24
16
问题
如图4所示,粗细均匀的玻璃细管上端封闭,下端开口,竖直插在大而深的水银槽中.管内封闭有一定质量的空气(可视为理想气体),玻璃细管足够长,管内气柱长4.0 cm.管内外水银面高度差为l0.0 cm,大气压强为76 cmHg。现将玻璃管沿竖直方向缓慢移动,当管内外水银面恰好相平时,管内气柱的长度约为( )。
选项
A.2.0 am
B.3.5 am
C.4.0 cm
D.4.5 cm
答案
B
解析
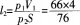
设玻璃管的横截面为S,玻璃管向上移动为等温变化,初态:p1=66 cmHg,V1=4S,末态:p2=76 cmHg,V2=l2S,由玻意耳定律:p1V1=p2V2,得
cm≈3.5 cm。故选B。
转载请注明原文地址:https://ti.zuoweng.com/ti/TMt8KKKQ
相关试题推荐
贯彻新发展理念,建设现代化经济体系,必须坚持质量第一、效益优先,以供给侧结构性改革为主线。正确
提高就业质量和人民收入水平,鼓励勤劳守法致富,就要()。 A.扩大中等收入群体 B.增加低收入者收入 C.调节过高收入 D.取缔非法收入
孙中山先生从青年时代就关心植树造林,大力提倡“植树以收利,蓄木以为薪”。这一理想贯彻于他一生的言行中。在他逝世后,人们秉承他的遗志,将每年3月12日(孙中...
史载。东晋时,太尉郗鉴为女择婿,遣人至朝廷重臣王导的家中“遍观子弟”。王氏子弟各自修饰,以图被选,只有王羲之“在东床坦腹食,独若不闻”,被郗鉴认为是理想的...
中国古代的一部作品,以神游天地、上下求索的幻想境界表达了作者对理想的执着追求,大量运用“美人”“芳草”的比兴手法和瑰丽的语言,闪耀着南方楚文化的奇丽色彩。...
骨骼肌收缩速度和力量受不同因素调控,其收缩速度的快慢与哪一因素有关?()。A.横桥的能量释放速率B.活化的横桥数目C.粗细肌丝的重叠状态D
气体交换时必须通过的薄层结构是()。A.气血屏障B.滤过屏障C.肺泡壁D.肺毛细血管壁
运动技能形成的自动化阶段,教师在教学过程中还应()。A.做好示范动作B.让学生多做模拟练习C.纠正错误动作D.不断检查动作质量
下列哪种练习可能有效提高双杠前摆下技术动作的质量?()A.挂臂摆动B.支撑摆动C.压肩动作D.吊肩动作
肺部与外界环境间的气体交换称为( )。A.呼吸B.外呼吸C.内呼吸D.肺通气
随机试题
在大脑的解剖结构中,与躯体运动、发音、语言及高级思维活动关系密切的区域是 A.
介水传染病的流行特点不包括 A、多为暴发流行 B、病例分布与供水范围一致
一台并联在电网上运行的同步发电机,若要再保持其输出的有功功率不变的前提下,减小其
大海公司是信达公司的母公司。2×12年1月1日,大海公司向信达公司100名管理人
以下不属于期货交易基本特征的是()。
中国药典规定的\"阴凉处\"是指
下列选项中,属于建筑结构材料表述的是()。 A.在建筑物中起围护和隔绝作用
水利水电工程勘察阶段分为()。 A.初步设计、详细设计 B.规划、项目建议书、可行性研究、初步设计、招标设计、施工详图设计 C.初步设计、详细设计...
行政复议机关应当自受理之日起()日内作出行政复议决定。A.30B.60C.10D.90
(一)资料 2010年4月,对甲公司的财务收支情况进行了审计。有关甲公司销售与收款业务、采购与付款业务、生产与存货业务、货币资金、筹资与投资各循环,有关...