首页
财务会计
医药卫生
金融经济
考公考编
外语考试
学历提升
职称考试
建筑工程
IT考试
其他
登录
建筑工程
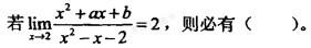
A. a = 2,b = 8 B. a = 2,b = 5 C. a = 0,b = -8 D. a = 2,b = -8A. a = 2,b = 8 B
A. a = 2,b = 8 B. a = 2,b = 5 C. a = 0,b = -8 D. a = 2,b = -8A. a = 2,b = 8 B
admin
2020-12-24
6
问题
选项
A. a = 2,b = 8
B. a = 2,b = 5
C. a = 0,b = -8
D. a = 2,b = -8
答案
D
解析
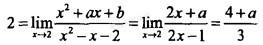
正确答案是D。 提示:当x→2,分母极限为零,分子也必须为零,故有4 + 2a + b = 0;利用洛必达法则,
所以a=2,代入4 + 2a + b= 0有b=-8。
转载请注明原文地址:https://ti.zuoweng.com/ti/UCK8KKKQ
相关试题推荐
女,80岁,因脑溢血已在家卧床2个月,大小便失禁,不能自行翻身,近日尾骶部不适,社区责任护士仔细观察后认为是炎性浸润期压疮。 针对该期压疮护理措施不妥的是
女,68岁,肝硬化5年,近日发现牙龈出血、夜间睡眠时流涎呈粉红色,皮肤有许多出血点,且尿频、尿急、腰痛,经检查后确诊为肝硬化、脾功能亢进、全血细胞减少,伴...
某孕妇,孕39周,孕妇于胎动时感觉腹痛,检查时发现宫髙、腹围小于同期正常妊娠孕妇,子宫的敏感度较高,轻微的刺激即可引起宫缩,临产后阵痛剧烈,宫缩不协调,宫...
小儿6个月,人工喂养,因腹泻、呕吐2天,伴口渴、尿少半天,门诊以“婴儿腹泻伴脱水”收入院。查体:枕秃,脱水征明显,精神萎靡,呼吸深快,口唇樱桃红色。 ...
一出生4天婴儿,因体重下降就诊,医生检查后,诊断为生理性体重下降。 该婴儿体重恢复至出生体重一般是在A.7?10天之内B.15天之内C.20天之内
女,25岁,已婚,发热、腰痛、尿频、尿急1周。血白细胞增多,增中性粒细胞0.9,尿沉渣检查白细胞满视野。 患者最可能发生了A.急性膀胱炎B.慢性肾
女,25岁,已婚,发热、腰痛、尿频、尿急1周。血白细胞增多,增中性粒细胞0.9,尿沉渣检查白细胞满视野。 该患者最可能感染的致病菌是A.肺炎球菌B.
患者,女,65岁。绝经后15年阴道萎缩,因阴道流血较多,遂来就诊。 对该患者最有意义的检查是A.宫颈脱落细胞涂片检查B.阴道镜检查C.超声检查D
患者,女,65岁。绝经后15年阴道萎缩,因阴道流血较多,遂来就诊。 给该患者做盆腔检查应采取下列哪项检查方法 该患者患以下哪种疾病的可能最大A.宫颈癌
患者,女,65岁。绝经后15年阴道萎缩,因阴道流血较多,遂来就诊。 给该患者做盆腔检查应采取下列哪项检查方法A.腹部叩诊B.肛腹诊C.双合诊D.
随机试题
某村位于城乡结合部,2010年5月查“原村转居”的同时,实施了农村集体产权制度改
下列哪项不属于思维联想障碍 A.思维中断 B.思维奔逸 C.思维插入 D
慢性粒细胞白血病的特征性表现是
如果“我们班有的同学不会使用计算机”是一个真判断,下面不能确定其真假的是()
男,52岁。近2个月来排便次数增多,有肛门坠胀感及里急后重,粪便变细。常有粘液
下列哪项不是维生素D缺乏性佝偻病初期的临床表现()A.易激惹B.睡眠不安C.多汗D.枕秃E.惊厥
女性,57岁,糖尿病史10年,目前优降糖6片/天,二甲双胍3片/天,空腹血糖控制在8.0mmol/L,近期出现足部溃疡,检查:足背动脉搏动消失,右足溃烂,有味下
患者,女,45岁。无外界刺激,但病人自发的感到某部位有蚁行感,该感觉为A.感觉减退B.感觉倒错C.感觉分离D.感觉异常E.感觉过度
采用视准线监测的围堰变形点,其偏离视准线的距离不应大于()mm。A.15B.20C.30D.50
注册会计师在对库存现金进行审计时,下列说法中错误的是( )。A、注册会计师应当核对库存现金日记账与总账的金额是否相符B、监盘库存现金时,必须参与的人员是出纳