首页
财务会计
医药卫生
金融经济
考公考编
外语考试
学历提升
职称考试
建筑工程
IT考试
其他
登录
金融经济
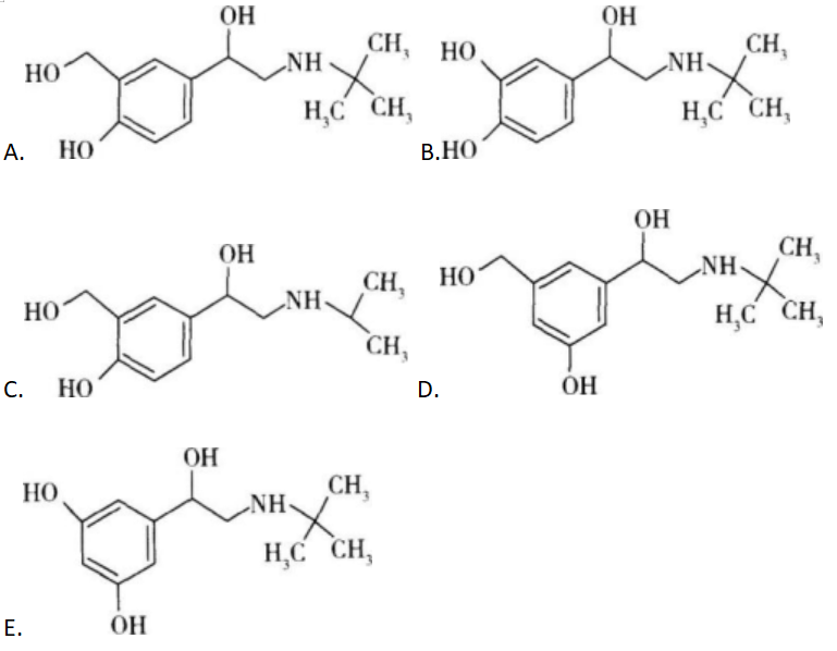
临床上应用的β2受体激动剂药物绝大多数是β-苯乙胺的基本结构: 其
临床上应用的β2受体激动剂药物绝大多数是β-苯乙胺的基本结构: 其
恬恬
2019-12-17
7
问题
临床上应用的β2受体激动剂药物绝大多数是β-苯乙胺的基本结构:
其中苯环上的取代基及取代基位置不同,侧链氮原子取代基不同,使其药理作用不同。将异丙肾上腺素苯核3位酚羟基用羟甲基取代,侧链氮原子上异丙基用叔丁基取代,得到化学性质稳定,对β2受体选择能力强的平喘药物沙丁胺醇。该药物的结构是
选项
答案
A
解析
认识沙丁胺醇该药物的结构。
转载请注明原文地址:https://ti.zuoweng.com/ti/UyTEKKKQ
相关试题推荐
项目融资包括:①融资执行;②融资决策;③融资结构分析;④融资谈判;⑤投资决策分析
以建筑物或构筑物各个扩大的分项工程和扩大的结构构件为对象编制的定额是( )
反应完成一定计量单位合格扩大结构构件需要消耗的人工、材料和施工机具台班的数量的定
根据《房屋建筑与装饰工程工程量计算规范》(GB50854-2013),有关木结构
在砌体结构施工中,在下列()墙体或部位可以设置脚手眼。
路基石方开挖,适用于结构均匀致密的硬土、次坚石和坚石、量大而集中的石方施工,常采
型钢混凝土组合结构比钢筋混凝土结构()
单层工业厂房结构吊装的起重机,可根据现场条件、构件重量、起重机性能选择()
超高层建筑抵抗水平荷载最有效的结构是( )。
常用于寒冷地区和结构变形较为频繁部位,且适宜热熔法施工的聚合物改性沥青防水卷材是
随机试题
唯一可用于治疗深部和皮下真菌感染的多烯类药物是 A、奈替芬 B、制霉菌素
下列不属于内部审计的法律责任的是: A、批评教育 B、行政处分 C、移交司
黄芩、黄连与黄柏三药功效的共同点是 A.泻火解毒 B.凉血止血 C.清热安
当事人要求听证的,应当在行政机关告知后五天内提出。( )
固位体固位力的大小取决于()
下列有关批复和批示的区别,正确的有()。
面板堆石坝面板混凝土浇筑施工中应控制入槽混凝土的坍落度在( )cm。 A、1
在我国,传播疟疾的主要媒介是 A淡色蚊B中华按蚊C三带喙蚊D剌扰伊蚊E
男性,55岁,早已确诊肝硬化腹腔积液。1周前呕血、黑便,近日淡漠少言,反应迟钝,
商业银行有必要对( )做好事前准备,建立有效的沟通预案,制定有效的危机应对措施,并及时调动内外部资源以缓解致命风险的冲击。A.危机管理的政策和流程B.声誉管