首页
财务会计
医药卫生
金融经济
考公考编
外语考试
学历提升
职称考试
建筑工程
IT考试
其他
登录
金融经济
(186-187题共用备选答案) A. B. C. D. E.
(186-187题共用备选答案) A. B. C. D. E.
恬恬
2020-05-20
12
问题
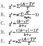
(186-187题共用备选答案)A.
B.
C.
D.
E.
选项
186.χ^2检验中计算χ^2值的基本公式是
答案
A
解析
转载请注明原文地址:https://ti.zuoweng.com/ti/ctUdKKKQ
相关试题推荐
(14-16题共用备选答案) A.“彩点肋” B.“热髌骨征” C.“炸面
(10-13题共用备选答案) A.3.7GBq B.5.55GBq C.7
(5-9题共用备选答案) A.多巴胺受体 B.乙酰胆碱受体 C.5-羟色胺
(86-87题共用备选答案) A.同侧颈上深淋巴结 B.同侧下颌下淋巴结
(51-55题共用备选答案) A.中性粒细胞增多 B.浆细胞增多 C.间皮
(29-30题共用备选答案) A.Ca^2+ B.Na^+ C.Clˉ
(46-50题共用备选答案) A.红色 B.黄色 C.绿色 D.草黄色
(42-43题共用备选答案) A.清热解毒 B.收敛止汗 C.聪耳明目
(36-40题共用备选答案) A.AFP B.SCCA C.TPA D.
(26-28题共用备选答案) A.极化 B.去极化 C.反极化 D.超极
随机试题
小李于2008年投资国债10000元,票面利率为5%,用查表法计算10年后投资将
戊二醛消毒最主要机制是 A.干扰、破坏细菌的酶系统 B.使菌体蛋白质变性或凝
ISO9001:2008标准对质量方针的要求中不包括 A.与组织的宗旨相适应
充油电气设备的布置,应满足在常电时观察()的安全和方便的要求,并便于抽取油样。
结核病最重要的传染源是
期货公司从事经纪业务,接受客户委托,以自己的名义为客户进行期货交易,交易结果由(
表面具黄色和红色的彩晕的药材是
甲企业对另一关区内的乙企业进口的加工贸易料件进行加工,成品交乙企业出口,应当由
造成青少年网络成瘾的原因包括()。 (A)网络游戏的吸引力(B)学习压力过
40yearsagotheideaofdisabledpeopledoingsportwasneverheardof.But...