首页
财务会计
医药卫生
金融经济
考公考编
外语考试
学历提升
职称考试
建筑工程
IT考试
其他
登录
职称考试
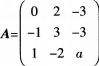
设矩阵阳似于矩阵 (1)求a,b的值; (2)求可逆矩阵P,使P-AP为对角矩阵。
设矩阵阳似于矩阵 (1)求a,b的值; (2)求可逆矩阵P,使P-AP为对角矩阵。
admin
2020-12-24
0
问题
设矩阵
阳似于矩阵
(1)求a,b的值;
(2)求可逆矩阵P,使P-AP为对角矩阵。
选项
答案
解析
显然可求得B的特征值为1,1,5,从而A的特征值为1,1,5,当A=1时
从而解得属于特征值1的线性无关的特征向量为dl=(2,1,O)Ta2-(3,0,-1)T。同理,解得属于特征值5的特征向量a3=(1,1,一l)T.
转载请注明原文地址:https://ti.zuoweng.com/ti/gcH8KKKQ
相关试题推荐
某Access数据表打开后如下图所示,下列描述中正确的是()。 A.“姓名”字段的类型是数值型B.当前记录中,“姓名”字段的值是“童建华”C.该数据表
执行如图所示的流程图,若输入n的值为3,则输出s的值是()。 A.1B.2C.4D.7
某程序流程图如图所示,当执行至“结束”时,变量C的值是()。 A.6B.7C.8D.9
执行下列语句序列后,k的值是( )。 A.0B.1C.2D.3
某计算公式的流程图如图5所示。输出结果s的值为()。 A.14B.30C.55D.91
如图所示,依次输入X的值为2,3,0后,输出( )。 A.0B.2C.3D.5
D/A转换器和矩阵变换的目的是实现(??)。A.模数转换和RGB到YUV的转换B.数模转换和RGB到YUV的转换C.数模转换和YUV到RGB的转换D.模数
在输入的A和B的值()的情况下,函数Y=A+B运算的结果是逻辑“0”。A.全部是“0”B.任一是“0”C.任一是“1”D.全部是“1”
某算法的流程图如下所示: 当输人a、b的值分别为7、9,该算法的输出结果为( )。A.16B.9C.7D.2
当前“中国制造”直面“机器换人”,部分劳动密集型企业“机器换人”后,有人认为商品的值是由机器创造的,此看法()A.错误,无差别的人类劳动是价值的源泉B.正确
随机试题
新生儿早发型败血症是指 A.生后1天内起病 B.生后1周尤其是3天内起病
患者,男,45岁。5年前被确诊为再障,经治疗基本痊愈。一天前因受凉导致感冒发热,
下列房屋附属设备、配套设施或装置于房屋的设备中,即使在会计核算中未计入房产价值,
石决明的原动物属于
在地下水位高于基岩表面的隐伏岩溶发育地区,在抽降地下水的过程中发生了地面突陷和建
某一级资质房地产开发企业通过拍卖方式获得一块占地面积20公顷的土地使用权,根据城
具有一国国籍,并根据该国宪法和法律规定享有权利和承担义务的人称为()。
前臂缺血性肌挛缩多见于( ) A.肱骨髁上伸直型骨折 B.肱骨干骨折 C
在国际上,施工企业项目经理是企业任命的一个项目的项目管理班子的负责人,其主要任务是( )。A.负责项目的人员配置和物资采购B.负责项目的技术管理工作C
农村合作医疗经办机构应在经管理委员会认定的()设立农村合作医疗基金专用账户。A:国有商业银行B:城市商业银行C:中国银行D:政策性银行