首页
财务会计
医药卫生
金融经济
考公考编
外语考试
学历提升
职称考试
建筑工程
IT考试
其他
登录
考公考编
A
A
Loveyou
2020-05-20
15
问题
选项
答案
A
解析
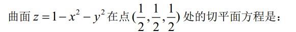
[img]/upload/tiku/138/333231_1.jpg[/img][img]/upload/tiku/138/333231_1_1.jpg[/img]
转载请注明原文地址:https://ti.zuoweng.com/ti/kIQMKKKQ
相关试题推荐
呆账发生后的处理原则不包括()。
认为银行稳定的贷款应建立在现实的归还期限与贷款的证券担保(合格的票据)基础上,从
超货币供给理论的观点不包括()。
下列关于历史成本的说法中,正确的有()。
下列属于经营状况预警信号的有()。
项目财务评估包括()。
商业银行给集团客户贷款时,应在贷款合同中约定,借款人若(),银行有权单方决定
速动比率较高,()。
下列有关于个人住房贷款支付管理的说法,正确的有()。
下列关于农户小额信用贷款的说法,正确的有()。
随机试题
下列哪一项属于元认知的实例?() A.学生在考试之后能准确地预测自己的分数
跟踪误差产生的原因是()。Ⅰ复制误差Ⅱ现金留存Ⅲ各项费用Ⅳ分红因素
中国公民李某在柏林签发一张转账支票给德国甲公司用于支付货款,付款人为中国乙银行北
《中华人民共和国执业医师法》明确规定,医师是指()A.依法取得医学专业技术职称,经聘用后在医疗、预防机构中工作的专业医务人员B.依法取得医学专业技术职
假设当前无风险收益率为5%,基金P的平均收益率为4O%,标准差为0.5;证券市场的平均收益率为25%,标准差为住0.25。则该基金P的夏普比率为()。A、0.7
皮亚杰认为儿童心理发展有四个基本要素,即()A.遗传、练习和习得的经验、社会性经验、具有自我调节作用的平衡过程B.成熟、练习和习得的经验、社会性经验、具有自
肺癌最常见组织学类型是A:鳞状细胞癌B:腺癌C:小细胞癌D:大细胞癌E:燕麦细胞癌
关于后张法预应力(无粘结)施工的说法,正确的是()。A.预应力混凝土楼盖中的张拉顺序是先张拉楼面梁、后张拉楼板B.无粘结预应力筋长度不大于40m时,可一端张
在新增资产价值共同费用的分摊方法中。下列应按安装工程造价比例分摊的是( )。A.土地征用费B.地质勘查费C.建筑工程设计费D.生产工艺流程
下列各项中属于施工中的工程技术风险的是()。A.工程设计文件B.引起火灾和爆炸的因素C.工程机械D.现场与公用防火设施的可用性和数量E.承包商一般技工