首页
财务会计
医药卫生
金融经济
考公考编
外语考试
学历提升
职称考试
建筑工程
IT考试
其他
登录
考公考编
A
A
shuhaiku
2020-05-20
8
问题
选项
答案
A
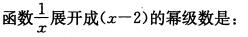
解析
[img]/upload/tiku/131/296537_1.jpg[/img]
转载请注明原文地址:https://ti.zuoweng.com/ti/m8nEKKKQ
相关试题推荐
如图5-45所示二梁弯曲刚度EI相同,载荷q相同,则下列4种关系中,正确的为(
()是在确定性分析的基础上,通过计算不确定性因素变化导致项目经济评价指标的变
根据《建筑法》的规定,工程监理单位与承包单位串通,为承包单位谋取非法利益,给建
已知,某原电池的两个半电池都由AgNO3溶液和银丝组成,其中一个半电池的c(A
空间曲线在xOy平面的投影方程是()。
如图5-65所示直杆,其材料相同,截面和长度相同,支承方式不同,在轴向压力作用下
若f(x)为可导函数,且已知f(0)=0,f\'(0)=2,则的值为()。
应用总流能量方程时,选择不同的高度基准面()。
普通完整井的出水量()。
带有不平行两槽的矩形平板上作用一力偶M,如图4-16所示。今在槽内插入两个固定于
随机试题
糖尿病临床诊断时,除了依据临床症状多饮、多食、多尿、体重下降(三多一少)之外,还
关于肌肉正确的是 A.面部表情肌为平滑肌 B.阴囊含横纹肌 C.乳晕内有横
某商住办综合楼工程合同价款1500万元,工程价款按季度动态结算。合同原始报价日期
患者男,50岁。胃大部分切除术后出现头晕,乏力,查Hb70g/L。其贫血的原因是
根据图1和图2的逻辑关系,下列选项中与图3有类似逻辑关系的是()
空间是指()。 A.由点、线、面占据、扩展或围合而成的三度虚体 B.由点
翼外肌分上下两头,其上头止于() A.下颌角B.下颌关节盘前缘C.髁状突颈部D.下颌小舌E.乙状切迹
下列不属于健康信念模式描述的影响人们采纳健康行为的因素是()。A.感知疾病的易感性B.感知疾病的严重性C.感知健康行为的效果D.感知健康行为的障碍
()实际上赋予了股权投资基金作为投资人,对一些特定重大事项的一票否决权。A.估值条款B.保护性条款C.回购条款D.反稀释条款
关于参与决策的说法,正确的有().A:参与决策可以发挥员工的专长,提高他们对工作的兴趣B:管理者应考虑到员工有参与的需要C:当工作十分复杂的时候,参与决策并