首页
财务会计
医药卫生
金融经济
考公考编
外语考试
学历提升
职称考试
建筑工程
IT考试
其他
登录
考公考编
6名研究员要为某农作物育种公司培育一批种苗,在计划培育阶段,为了保证一定的存活率,每人均要多培育10株种苗。但由于临时任务,2名研究员不能参加培育工作,剩...
6名研究员要为某农作物育种公司培育一批种苗,在计划培育阶段,为了保证一定的存活率,每人均要多培育10株种苗。但由于临时任务,2名研究员不能参加培育工作,剩...
admin
2020-12-24
59
问题
6名研究员要为某农作物育种公司培育一批种苗,在计划培育阶段,为了保证一定的存活率,每人均要多培育10株种苗。但由于临时任务,2名研究员不能参加培育工作,剩下的每人要比2名研究员退出前多培育20株种苗。请问农作物公司总共需要多少株种苗?()
选项
A.90
B.120
C.150
D.180
答案
D
解析
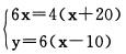
设2名研究员退出前每人需要培育x株种苗,农作物育种公司需要y株种苗。则
,解得x=40,y=180。故答案为D项。
转载请注明原文地址:https://ti.zuoweng.com/ti/mvu0KKKQ
相关试题推荐
1.两年前的12月初,中央城镇化工作会议在北京召开,会议提出城镇建设“要体现尊重自然、顺应自然、天人合一的理念,依托现有山水脉络等独特风光,让城市融人大自...
1.我国互联网立法大致可以分为三个阶段。 2000年之前,针对互联网并无专门性立法,且互联网立法内化于传统电信立法之中,可以视为1.0时代。 20...
I.2012年7月9日半夜12点,北大未名BBS上,一名硕士毕业生匿名发布的一则帖子道出了自己辛酸又无奈的遭遇:因为自己找到的工作月薪仅有8000元,父亲...
给定资料 1.天刚刚亮,Roy巳经开始了一天的工作。Roy是上海某知名营销策划机构的首席策划师,在他眼里,即将到来的中国传统节日假将迎来一场传统文化...
给定资料 1.今夏的一个大雨天,某地党建工作指导员老李接到开会通知。他开着私家车花了一个半小时赶到会场,结果会开了20分钟就结束了。“20分钟的会,...
1.今夏的一个大雨天,某地党建工作指导员老李接到开会通知。他开着私家车花了一个半小时赶到会场,结果会开了20分钟就结束了。“20分钟的会,我一个下午都搭进...
给定资料 1.1867年,约瑟夫在加利福尼亚一个牧场工作,常常一边放羊一边看书。在他埋头读书时,牲口经常撞倒放牧的铁丝栅栏,跑到附近田里偷吃庄稼。牧场...
1.1867年,约瑟夫在加利福尼亚一个牧场工作,常常一边放羊一边看书。在他埋头读书时,牲口经常撞倒放牧的铁丝栅栏,跑到附近田里偷吃庄稼。牧场主对此事十分恼...
资料1 某市市政府组织召开了一次专题研讨会,邀请了相关专家及政府部门工作人员,以“好政策”为话题展开讨论。以下是与会人员的发言摘要: ...
资料1 某市市政府组织召开了一次专题研讨会,邀请了相关专家及政府部门工作人员,以“好政策”为话题展开讨论。以下是与会人员的发言摘要: ...
随机试题
(40-41题共用备选答案) A.芍药汤 B.葛根芩连汤 C.痛泻要方
阅读材料.根据要求完成教学设计任务。 材料一《义务教育物理课程标准(2011
门捷列夫:化学:元素周期律A.老子:哲学:辩证法B.孙武:《孙子兵法》:军事学C.牛顿:数学家:微积分D.大卫·科波菲尔:魔术:空中飞人
某商业银行资本余额为80亿元,当地一家企业想其申请贷款,则贷款可能为(?)亿元。A.10?B.7?C.5?D.4.5?E.3
银汞合金中哪种元素引起延缓性膨胀A.锡B.汞C.锌D.银E.铜
“让学校的每一面墙壁都开口说话”“让学校的一草一木,一砖一石都发挥教育影响”。这体现的德育方法是( )。A.说服法B.榜样法C.锻炼法D.陶冶法
围绕认识不同颜色的主题,设计一个幼儿园小班活动方案。要求写明活动目标、活动准备、活动过程等。
下列关于证券经纪业务的禁止行为,说法正确的是()。 ①不得为客户股票申购和交易提供融资、融券,从事信用交易;②不得挪用客户的交易结算资金和证券,亦不得...
第一类精神药品处方印刷用纸是A.淡橙色B.淡绿色C.淡红色D.淡黄色E.白色
个人住房贷款的对象仅限于自然人,不包括法人。