首页
财务会计
医药卫生
金融经济
考公考编
外语考试
学历提升
职称考试
建筑工程
IT考试
其他
登录
建筑工程
已知某出租公寓的年有效毛租金收入为100万元,年运营费用为30万元,如果租金收入和运营费用在未来30年的经营期内分别以每年3%和2%的速度增长,折现率为8...
已知某出租公寓的年有效毛租金收入为100万元,年运营费用为30万元,如果租金收入和运营费用在未来30年的经营期内分别以每年3%和2%的速度增长,折现率为8...
admin
2020-12-24
6
问题
已知某出租公寓的年有效毛租金收入为100万元,年运营费用为30万元,如果租金收入和运营费用在未来30年的经营期内分别以每年3%和2%的速度增长,折现率为8%,则该出租公寓的净运营收益现值为()万元。
选项
A:1107.57
B:1126.68
C:1278.66
D:1267.45
答案
A
解析
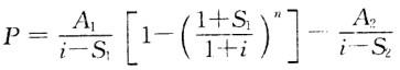
已知A
1
=100万元,A
2
=30万元,n=30,i=8%,S
1
=3%,S
2
=2%,则该出租公寓净运营收益现值:
转载请注明原文地址:https://ti.zuoweng.com/ti/r2faKKKQ
相关试题推荐
运营费用比率是指投资性物业中运营费用支出占()的比率。该比率越高,则预示着投资项目所获得的净经营收入越低。A:毛租金收入B:潜在租金收入C:经营收入D:净
投资利润率是指项目经营期内一个正常年份的年利润总额与()的比率。A:总开发成本B:项目投资的资本价值C:项目总投资D:总开发价值
某写字楼的购买价格为100万元,其中70万元为15年期,年利率为5%,按年等额还款抵押贷款,30万元由投资者用现金支付。如果该写字楼出租的年净租金收入为9...
某房地产开发项目采用20%的折现率计算出的项目净现值为16万元,该项目的财务内部收益率为()。A:小于20%B:满足目标收益率要求C:大于20%D:不满足
房地产开发活动可以从()两个方面进行考查。A:物质形态与货币形态B:投资资金量和预期收益率C:出租、出售或经营形态D:资金流通方式与对策
将更新改造后的收益性房地产持有并出租经营,并在持有经营一段时间后,根据市场状况和企业财务状况将其转售出去,也是部分房地产企业常采用的业务模式,这种模式是()。A
某家庭从银行贷款100万元购买一套200万元的商用房,贷款期限为3年,年利率为6%,按月计息,采用到期一次付清的还款方式,问3年后,该家庭应向银行还息为(...
()是房地产投资信托基金和大型房地产企业常采用的业务经营模式类型。A:开发一销售模式B:开发一持有一出租一出售模式C:购买一持有一出租一出售模式D:购买一
根据房地产开发经营企业的业务经营模式类型,()主要适用于写字楼、零售物业、高级公寓等收益性房地产项目。部分政策性租赁住宅、普通商品住宅也可采用这种模式。A:开发
对于开发一持有一出租一出售模式和购买一持有一出租一出售模式来说,两者的共同点是()。A:现金流入都包括出租收入和持有期末的转售收入B:现金流入都包括销售收入和
随机试题
60.某计标准装置的不确定度U=0.020kg(k=
下列关于商品房销售广告的表述中,正确的有( )。 A、商品房销售广告一般为要
A.四妙散合白头翁汤 B.木香分气丸 C.参苓白术散合吴茱萸汤 D.导痰汤
葡萄球菌A蛋白存在于细菌的 A、细胞壁 B、细胞膜 C、鞭毛 D、
计算工程量,分部分项工程计算顺序可以按\"先横后竖、先下后上、先右后左\"计算法。(
选择关键风险指标的基本原则有()。
先天性甲状腺功能减退症患儿,最早出现的症状是
患者,男性,56岁。过去有嗜酒及慢性肝炎史,近2个月食欲不振、低热、消瘦、乏力、右上腹胀痛并扪到肿块。体格检查:肝肋下3cm,质硬,无腹水。B超检查发现患...
下列行为中,属于扰乱电信市场秩序的是() A、盗窃公用电话亭 B、盗接邻居电话线 C、利用电信网窃取竞争对手投标信息 D、故...
根据《风景名胜区条例》的规定,设立国家级风景名胜区的申请方应该是()A:住房和城乡建设部B:省、自治区、直辖市建设主管部门C:环境保护部D:省、自治区、直