首页
财务会计
医药卫生
金融经济
考公考编
外语考试
学历提升
职称考试
建筑工程
IT考试
其他
登录
建筑工程
A.0 B.1/6 C.1 D.∞A.0 B.1/6 C.1 D.∞
A.0 B.1/6 C.1 D.∞A.0 B.1/6 C.1 D.∞
admin
2020-12-24
11
问题
选项
A.0
B.1/6
C.1
D.∞
答案
B
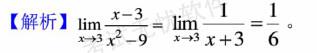
解析
转载请注明原文地址:https://ti.zuoweng.com/ti/r5b0KKKQ
相关试题推荐
薄荷入汤剂,其用法是A.先煎B.冲服C.另煎D.后下E.布包煎
善于治疗鼻渊头痛的药物是A.羌活B.辛夷C.藁本D.紫苏叶E.荆芥
治疗风寒咳喘的药物是A.白芷B.羌活C.藁本D.苍耳子E.细辛
具有解表散寒,温肺化饮,宣通鼻窍功效的药物是A.干姜B.辛夷C.生姜D.细辛E.苍耳子
下列各项,不属防风治疗的病证是A.外感风寒,头身疼痛B.风寒湿痹,肢体疼痛C.湿热痹证,湿热带下D.肝脾不和,腹痛泄泻E.破伤风证,角弓反张
既能发汗解表,又能利水消肿的药物是A.麻黄、荆芥B.香薷、紫苏叶C.麻黄、香薷D.紫苏叶、生姜E.荆芥、防风
麻黄的功效是A.发汗解表,宣肺平喘,利水消疮B.发汗解表,宣肺平喘,化湿通淋C.发汗解表,宣肺平喘,通阳散结D.发汗解表,宣肺平喘,利水消肿E.发汗解表
滋补药的煎法是一般需A.武火急煎B.武火久煎C.文火久煎D.文火略煎E.另煎兑入
入汤剂宜布包煎的药物是A.贝壳、甲壳、化石及多种矿物药B.芳香性药物C.某些粉末状药物及细小的植物种子药物D.较贵重的药物E.胶质的药物
入汤剂宜先煎的药物是A.贝壳、甲壳、化石及多种矿物药B.芳香性药物C.某些粉末状药物及细小的植物种子药物D.较贵重的药物E.胶质的药物
随机试题
夏普指数、特雷诺指数、詹森指数与CAPM模型之间的关系有( )。 A、夏普指
以下哪一个儿童个体发展的特点是对残疾儿童教育的重要依据?( ) A、顺序性
股权投资基金运行期间,如发生相关重大事项的,基金管理人应该在5个工作日内向中国证
主治外寒内热,表里俱实证,症见恶寒壮热,头痛咽干,小便短赤,大便秘结,瘰疬初起,
采用盾构法修建隧道时,盾构的类型按开挖方式可以分为手掘式盾构、半机械式盾构和(
甲与邻居乙发生冲突致乙轻伤,甲被刑事拘留期间,甲的父亲代为与乙达成和解,公安机关
在一定程度上反映被住制图对象数量特征的地图注记要素是()。
单一法人客户的财务状况分析中财务报表分析主要是对( )进行分析。
关于概算指标的编制,下列说法中正确的是()。A.概算指标分为建筑安装工程概算指标和设备及工器具概算指标B.综合概算指标的准确性高于单项概算指标C.单项形式
注册建造师卫某2012年1月办理了延续注册,2013年1月因工作调动而办理了变更注册,变更后他的注册证书和执业印章在()年内有效。A.2B.3C.4