首页
财务会计
医药卫生
金融经济
考公考编
外语考试
学历提升
职称考试
建筑工程
IT考试
其他
登录
财务会计
C
C
恬恬
2019-12-17
14
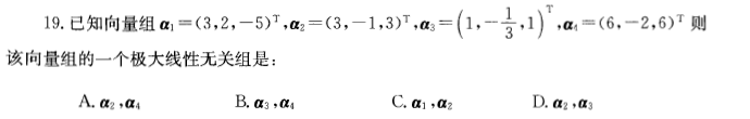
问题
选项
答案
C
解析
[img]/upload/tiku/190/5025400_1.png[/img]
转载请注明原文地址:https://ti.zuoweng.com/ti/tiElKKKQ
相关试题推荐
以下属于我国当前施行的会计行政法规的是()。
会计法律制度是指国家权力机关和行政机关制定的各种会计规范性文件的总称。下列各项中
上述资料中的第5条属于授意、指使、强令会计机构和会计人员及其他人员伪造、变造会计
背景资料 某铁路桥位子陡峭山谷间,该地区雨量充沛。桥跨布置为6×24米+(4
背景资料 某施工单位承建一段铁路路基工程。工程内容包括:软土地基处理、软土地基
背景资料 铁路工程专业承包企业A为参加铁路一繁忙干线增建二线工程项目投标,与
在国家铁路、合资铁路建设项目中发生的( )事故,不论伤亡人员归属及责任归属,施工
当对铁路工程变更设计类别的划分有不同意见时,()类变更设计由建设单位确定。
预应力混凝土连续梁桥可采用( )施工。
框架涵通常采用支架现浇方法施工,其施工内容包括( )等。
随机试题
大叶性肺炎实变患者患侧体征有( )。 A、呼吸运动增强 B、语颤减弱 C
工程建设招标投标应遵循的原则有( ) A.公开原则 B.公平原则 C.公
(52-53题共用备选答案) A.重阴 B.重阳 C.合阴 D.合阳
主要适用于实力相对不足、以自我特色发展为主要目标的出版单位的是( )。 A、目
空调工程承包商提供空调设备时,应同时提供满足监测和控制要求的()。
下面属于通货膨胀的治理对策的是()。
根据《贷款通则》的规定,贷款期限根据借款人的生产经营周期、还款能力和银行的资金供给能力由借贷双方共同商议后确定,并在借款合同中载明。()
辛伐他汀属于A:烟酸类降血脂药B:苯氧乙酸类降血脂药C:抗氧化降血脂药D:羟甲戊二酰辅酶A还原酶抑制药类降血脂药E:多烯脂肪酸类降血脂药
河豚毒素的主要毒作用是A引起血压下降B引起颅神经损伤C引起体温下降D抑制咳嗽反射E阻断神经肌肉间的传导引起随意肌进行性麻痹
下列哪项是期末处理的特点()。A:每天都重复地发生B:有较为固定的处理流程C:业务处理不能由计算机自动完成D:每月只发生一次