首页
财务会计
医药卫生
金融经济
考公考编
外语考试
学历提升
职称考试
建筑工程
IT考试
其他
登录
考公考编
某大底盘单塔楼高层建筑,主楼为钢筋混凝土框架-核心筒,裙房为混凝土框架-剪力墙结
某大底盘单塔楼高层建筑,主楼为钢筋混凝土框架-核心筒,裙房为混凝土框架-剪力墙结
书海库
2020-05-20
10
问题
某大底盘单塔楼高层建筑,主楼为钢筋混凝土框架-核心筒,裙房为混凝土框架-剪力墙结构,主楼与裙楼连为整体,如图所示。抗震设防烈度7度,建筑抗震设防类别为丙类,设计基本地震加速度为0.15g,场地III类,采用桩按形基础。
裙房一榀横向框架距主楼18m,某一顶层中柱上、下端截面组合弯矩设计值分别为320kN*m,350kN*m(同为顺时针方向);剪力计算值为125kN,柱断面为500mmx500mm,Hn=5.2m,λ>2,混凝土强度等级C40。在不采用有利于提高轴压比限值的构造措施的条件下,试问,该柱截面设计时,轴压比限值[uN]及剪力设计值(kN)应取下列何组数值才能满足规范的要求?提示:按《建筑抗震设计规范》(GB50011-2010)作答;
(A)0.90;125(B)0.75;170(C)0.85;155(D)0.75;155
选项
答案
D
解析
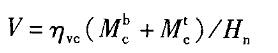
根据《建筑抗震设计规范》(GB50011-2010)第3.3.3条,抗震构造措施按8度(0.2g)要求确定。根据第6.1.3-2条,框架抗震等级除按本身确定外不低于主楼抗震等级。根据第6.1.2条,框架本身抗震等级为三级,主楼框架抗震等级为一级,该柱在主楼的相关范围内其抗震等级取一级。根据6.3.6条,[uN]≤0.75,柱内力调整仍按7度抗震要求。根据第6.1.2条,框架本身抗震等级为四级,主楼框架抗震等级为二级,该柱在主楼的相关范围内其抗震等级取二级。根据第6.2.5条,V=1.2x(320+350)/5.2kN=155kN>125kN
转载请注明原文地址:https://ti.zuoweng.com/ti/ysnEKKKQ
相关试题推荐
计算机网络技术的核心是()。
框架结构的体系是由()承重构件组成的。
问卷设计内容的核心是()。
可涂刷于黏土砖及混凝土等制品表面,以提高其表层密实度与抗风化能力的建筑材料是(
都市区是一个大的人口核心,以及与这个核心具有高度的经济社会一体化的邻接社区的组
建筑框架结构的体系是由()等承重构件组成。
具有很强的抗渗作用,适用于不受振动和具有一定刚度的混凝土或砖石砌体工程的砂浆是
单元组合式高层住宅,单元内以电梯、楼梯为核心组合布置。常见的形式有()。
建筑框架结构的优点是()。
以资源为核心的社会生态亚系统的特征,描述正确的是()。
随机试题
【51-52】 根据下列选项,回答下列题 A.醋炙品 B.清炒品 C.生
委托合同在性质上属于( )。 A、单方法律行为 B、双方法律行为 C、多
(55-57题共用题干) 家长咨询。
心房肌的生理特点为
我国教育近代化之先河开启于哪一时期?
小儿腹泻脱水无明显循环障碍时,前8~12小时最合适的补液速度〔ml/(kg·h
现行的《环境空气质量标准》(GB3095—1996)中,二氧化氮的日平均浓度二级
以下哪项不是风湿性心包炎的X线表现A.心影向两侧扩大,呈烧瓶状B.心脏搏动减弱或消失C.卧位时心腰增宽D.立位时阴影又变窄E.心影呈靴形
88.读书这一行为意味着你没有完全认同于这个现世和现实,你还有追求,还在奋斗,你还有不满,______,另一种生活方式。A.你还在另一种可能性寻找B.另一种可
( )负责组织实施内部审计章程、中长期审计规划和年度工作计划。A.董事会B.首席风险官C.总经理D.审计委员会