首页
财务会计
医药卫生
金融经济
考公考编
外语考试
学历提升
职称考试
建筑工程
IT考试
其他
登录
金融经济
9、
9、
书海库
2020-05-20
8
问题
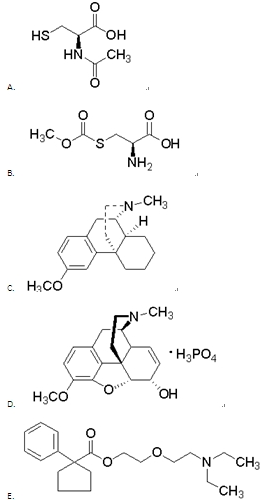
9、
选项
<1>、乙酰半胱氨酸
答案
A
解析
转载请注明原文地址:https://ti.zuoweng.com/ti/z4opKKKQ
相关试题推荐
初级生产量的测定方法有( )。[2006年真题] A.氧气测定法
下列属于生态现状调查基本内容的是( )。 A.生态背景调查 B.
以下应列为生态敏感保护目标的有( )。[2008年真题] A.水田
下列景观斑块优势度(D0)密度(Rd)频率(Rf)和景观比例(Lp)的计算公式正
制定植被样方调查方案时,应根据不同植被类型,合理确定( )。[2010年真题]
设雨滴为球体状,若雨滴聚集水分的速率与表面积成正比,则在雨滴形成过程中(一直保持
鱼类资源实地调查可采用的方法有( )。[2012年真题] A.钩钓
某海水营养指数以4为阈值判断海水富营养化水平,该指数中用到的指标有( )。[2
下列工程项目中,可采用景观生态学方法进行生态现状调查与评价的有( )。[201
陆地生态系统生物量是衡量环境质量变化的主要标志,应采用( )进行测定。 A
随机试题
房地产经纪人在获取购房客户的信任后,接着应开展的工作是( )。 A、带领客户
下列指标中累积后没有意义的是()。
(2012年真题new)上市公司甲公司系ABC会计师事务所的常年审计客户。在对
由于无形资产转让后增加了市场竞争对手,在该无形资产的寿命期间,无形资产转让者的机
一、考题回顾 题目来源:1月6日下午江苏省徐州市面试考题 试讲题目:社戏 月还没有落,仿佛看戏也并不很久似的,而一离赵庄,月光又显得格外的皎洁。回望...
()是我国商业银行最主要的业务种类之一,包括法人客户贷款业务、进出口押汇等。A.个人信贷业务B.法人信贷业务C.资金交易业务D.代理业务
毛泽东同志在《中国革命战争的战略问题》中指出:“在有强大敌军存在的条件下,无论自己有多少军队,在一个时间内,主要的使用方向只应有一个,不应有两个。”该论述...
在客户关系管理中,客户的当前价值是指客户( )。A:过去为公司创造的利润现值B:过去为公司创造的利润总和C:未来为公司创造的利润现值D:未来为公司创造的
沪深300指数由中证指数公司编制、维护和发布。该指数的300只成分股从()两家交易所选出,是反映国内沪、深两市整体走势的指数。A.京B.沪C.深D.广
下列科目中,不属于所有者权益科目的有______。A.以前年度损益调整B.公允价值变动损益C.固定资产清理D.本年利润