首页
财务会计
医药卫生
金融经济
考公考编
外语考试
学历提升
职称考试
建筑工程
IT考试
其他
登录
建筑工程
等额序列支付资金回收系数正确的表达式是()。A: B: C: D:
等额序列支付资金回收系数正确的表达式是()。A: B: C: D:
admin
2020-12-24
7
问题
等额序列支付资金回收系数正确的表达式是()。
选项
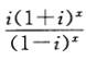
A:
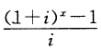
B:
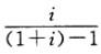
C:
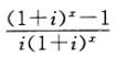
D:
答案
B
解析
[(1+i)
x
-1]/[i(1+i)
x
]称为等额序列支付现值系数。
转载请注明原文地址:https://ti.zuoweng.com/ti/8t9aKKKQ
相关试题推荐
张某通过甲房地产经纪公司(以下简称甲公司)拟购买陈某在本市的一套住房。双方在甲公司的协助下签署了买卖合同,张某支付了陈某1万元定金。当张某向陈某支付首付...
张某通过甲房地产经纪公司(以下简称甲公司)拟购买陈某在本市的一套住房。双方在甲公司的协助下签署了买卖合同,张某支付了陈某1万元定金。当张某向陈某支付首付...
房地产经纪企业客户关系管理的核心内容包括( )。A、提供个性化服务B、正确处理投诉C、理顺资金链D、建立长久的合作关系E、提供充分的信息
房地产经纪机构每一种扩张模式都各有其优缺点,企业应根据自身的实际情况作相应的选择,无论哪种扩张模式,都对房地产经纪机构的( )提出了更高的要求。A、资金实力
我国房地产经纪机构薪酬的支付方式中,( )最大的缺点是不具有奖励性。A、混合制B、计时薪金制C、佣金制D、固定薪金制
薪酬支付方式中,( )奖励大,刺激性强,业务员的“危机意识”最高。A、固定薪金制B、佣金制C、混合制D、信息费制
房地产经纪机构是否采取店铺经营,主要取决于其( )。A、人员规模B、发展阶段C、资金实力D、面向的客户类型
房地产经纪直营连锁与特许加盟连锁经营模式的比较,表述正确的是( )。A、连锁经营组织的资金方面,直营连锁属于加盟者投资B、连锁经营组织的经营权方面,特许经营
下列关于房地产居间合同的表述中,正确的有( )。A、居间合同委托人的给付义务具有不确定性,只有交易达成,委托人才有向经纪人支付报酬的义务B、居间合同中,房地
下列各项属于委托人的违约情形有( )。A、虚假委托B、合同履行中,变更合同条款C、提供的资料不实D、未能按时支付约定经纪服务费E、实地看房时没有给予必
随机试题
在我国现行的金融体系中,处于主体地位的是( )。 A、中央银行 B、专业银
下列属于化学灭菌法的是 A.微波灭菌法 B.甲醛灭菌法 C.湿热灭菌法
房地产估价师的考试办法,由()共同制定。
癌症疼痛的治疗,应按照疼痛的不同程度选用不同阶梯的镇痛药物,下列属于第三阶梯镇痛
根据《建设项目环境影响评价技术导则总纲》,下列不属于环境影响评价原则的是()
人口老龄化与()关系最为密切相关。
2010年上半年,全国原油产量为9848万吨,同比增长5.3%,上年同期为下降1%。进口原油11797万吨(海关统计),增长30.2%。原油加工量2058...
冠心病:传染病A.熊猫:哺乳动物B.京剧:豫剧C.细菌:病毒D.鲤鱼:两栖动物
( )鲜明地体现了基础教育的本质属性和基本特征。A.素质教育B.应试教育C.德育D.智育
氯氮平为A.吩噻嗪类B.丁酰苯类C.苯并二氮卓类D.二苯并氮卓类E.二苯并二氮卓类