首页
财务会计
医药卫生
金融经济
考公考编
外语考试
学历提升
职称考试
建筑工程
IT考试
其他
登录
建筑工程
500kV架空送电线路,导线采用4xLGJ-400/35,子导线直径26.8mm,重量1.348kg/m,位于土壤电阻率100Ω?m地区。 若绝缘...
500kV架空送电线路,导线采用4xLGJ-400/35,子导线直径26.8mm,重量1.348kg/m,位于土壤电阻率100Ω?m地区。 若绝缘...
admin
2020-12-24
14
问题
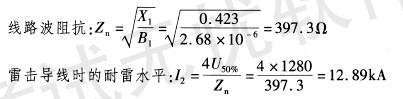
500kV架空送电线路,导线采用4xLGJ-400/35,子导线直径26.8mm,重量1.348kg/m,位于土壤电阻率100Ω?m地区。
若绝缘子串U50%雷电冲击放电电压为1280kV,相导线电抗X1=0.423Ω/km,电纳B1=2.68x10-6(1/Ω?km),在雷击导线时,计算其耐雷水平应为下列哪项数值?()
(A)70.48kA
(B)50.12kA
(C)15.26kA
(D)12.89kA
选项
答案
D
解析
《电力工程高压送电线路设计手册》(第二版)P24式(2-1-41)和P129式(2-7-39)。
注:可对照2011年案例分析试题(下午卷)第32题计算。
转载请注明原文地址:https://ti.zuoweng.com/ti/dHb0KKKQ
相关试题推荐
压缩空气断路器,压缩空气作为()。 (A)灭弧介质和绝缘介质,油作为操作动力 (B)只是灭弧介质 (C)同时作为灭弧介质、绝缘介质的操作动力 (...
接地电阻的数值大小与()因素基本无关。 (A)金属接地体本身的电阻(B)金属接地体的形状和大小 (C)金属接地体埋入的深度(D)大地电阻率
在严重污秽地区的电网外绝缘水平,主要由()所决定。 (A)铁磁谐振过电压(B)切断空载线路 (C)雷电放电所产生的感应过电压(D)系统最大运行电压
()不是引起操作过电压的原因。 (A)铁磁谐振(B)空载线路合闸(C)切断空载变压器(D)断续电弧接地
上题图为一台单相变压器示意图,其额定电压U1N/U2N=220/110V。现将X与a两端用导线连接,在A、x之间加电压U=330V,则变压器的主磁通与空载时的主
下列关于负序网络说法正确的是()。 (A)负序网络是一个有源网络(B)负序网络包括空载线路和变压器 (C)所有电源的负序电势为苳(D)负序电流能流...
已知某条长80km220kV的线路,末端空载,则首端电压幅值U1与末端电压幅值U1之间的关系是()。 (A)U2>U1(B)U21(C)U2=U1...
一条阻抗为10+j_3011的110kV线路,取基准功率SB=100MVA,基准电压为各级平均额定电压,那么该线路阻抗的标幺值为()。 (A)0.075...
已知有完全相同的长100km的双回线路,其每回线路每公里的对地电纳为2.80+10-6S/km,则该双回线的等值电纳的一半为()S。 (A)2.80x...
不直接和发电机相连的变压器一次绕组的额定电压()。 (A)等于相连线路的额定电压(B)比相连线路的额定电压髙5% (C)比相连线路的额定电压高10%...
随机试题
副猪嗜血杆菌病发病的阶段主要集中在 A.哺乳仔猪 B.保育仔猪 C.生长猪
违反《注册房地产估价师管理办法》规定,注册房地产估价师或者其聘用单位未按照要求提
下列哪种情况下,银行不应暂停与担保机构的合作?()
()是糖尿病干预指导措施。
收费亭、监控中心等场所在选择灯具的时候,其显色性(Ra)应为()。 ARa≥8
一般资料:求助者,女性,26岁,硕士,公司职员。 案例介绍:求助者毕业后不
药物肝脏首过效应大时,可选用的剂型是
可用于指导企业筹资决策的理论有()。
Ⅱ型肺结核是指A:浸润型肺结核B:原发型肺结核C:血型播散型肺结核D:慢性纤维空洞型肺结核E:结核性胸膜炎
张某完全靠500万元的自有资金进行房地产置业投资。经市场调研,有甲、乙、丙三个投资方案可供选择。各方案的初始投资、年净经营收入和净转售收入见下表,计算期均...