首页
财务会计
医药卫生
金融经济
考公考编
外语考试
学历提升
职称考试
建筑工程
IT考试
其他
登录
建筑工程
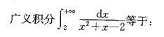
A.收敛于(2/3)ln2 B.收敛于(3/2)ln2 C.收敛于(1/3)ln(1/4) D.发散
A.收敛于(2/3)ln2 B.收敛于(3/2)ln2 C.收敛于(1/3)ln(1/4) D.发散
admin
2020-12-24
7
问题
A.收敛于(2/3)ln2
B.收敛于(3/2)ln2
C.收敛于(1/3)ln(1/4)
D.发散
选项
答案
A
解析
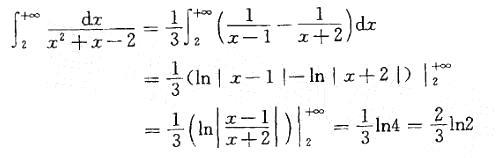
提示:把分母配方或拆项。计算如下:
转载请注明原文地址:https://ti.zuoweng.com/ti/qLKCKKKQ
相关试题推荐
磁偏角和子午线收敛角分别是指磁子午线、中央子午线与哪条线的夹角? A.坐标纵轴B.指北线C.坐标横轴D.真子午线
已知幂级数则所得级数的收敛半径R等于: A.bD.R值与a、b无关
下列级数中,绝对收敛的级数是( )。
幂级数的收敛域为()。A、(-1,1)B、[-1,1]C、[-1,1)D、(-1,1]
设f(x)是周期为2π的周期函数,它在[-π,π]上的表达式为: 若将f(x)展开成傅里叶级数,则该级数在x=-3π处收敛于()。...
A.绝对收敛 B.发散 C.条件收敛 D.无法判定A.绝对收敛B.发散C.条件收敛D.无法判定
幂级数的收敛域为()。A(-1,1)B[-1,1]C[-1,1)D(-1,1]
幂级数的收敛域为()。
磁偏角和子午线收敛角分别是指磁子午线、中央子午线与哪条线的夹角? A.坐标纵轴B.指北线C.坐标横轴D.真子午线
幂级数在其收敛区间的两个端点处如何敛散? A.全是发散的B.全是收敛的 C.左端点收敛,右端点发散D.左端点发散,右端点收敛
随机试题
关于流行性出血热的治疗,下列哪项正确 A、发热期可用解热镇痛剂退热 B、低血
活髓牙金属全冠修复后自发痛的最主要原因是
属于山西风味食品的有()。A.疤饼B.头脑C.云片糕D.碗托E.闻喜煮饼
根据读下面两幅图 左上图中的人类活动可能引起的环境问题是( )。A.海平面上升B.酸雨危害C.全球变暖D.草原退化和荒漠化
某年冬季,男性患者,42岁。因发热、头痛、眼眶痛、腰痛3天来院急诊。自测体温在40~40.6℃之间波动。体格检查:血压70/40mmHg,脉搏110次/分...
一氧化碳中毒造成缺氧的主要原因是A:O2与脱氧Hb结合速度变慢B:HbO2解离速率减慢C:HbCO无携带O2能力D:CO使红细胞内2,3-DPG减少E:
根据《医疗机构制剂质量管理规范(试行)》,制剂配发记录和收回记录的均包括的内容有A:制剂名称B:批号C:规格D:数量E:制剂批准文号
背景资料: 某中型水闸工程施工招标文件按《水利水电工程标准施工招标文件》(2009年版)编制。已标价工程量清单自分类分项工程量清单、措施项目清单、其他...
甲有小汽车一辆,乙从甲处以200元每天的价格借用该小汽车。在乙借用该车的期间内,乙将该车送到丙处进行修理。汽车修好后,乙一直未向丙支付修理费,故丙将该车留...
共用题干 20世纪80年代以来,各国银行间的竞争日益激烈,而西方各国关于银行资本定义不统一,资本充足率也没有规范标准。1988年7月美国、英国、法国、加...